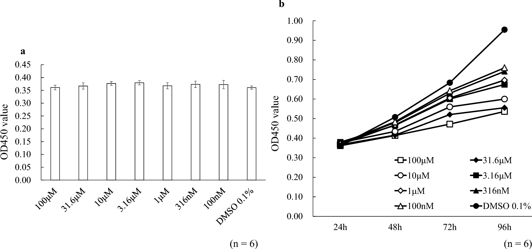
Figure 1

Effects of PD0325901 on toxicity and proliferation. (a) To assess toxicity, HCFs were incubated for 24 h with PD0325901 (100 nM–100 µM or 0.1% DMSO, after which the OD450 was measured using the CCK-8 assay. No significant differences were observed among the groups. (b) To evaluate proliferation, HCFs were incubated for up to 96 h with PD0325901 or 0.1% DMSO, after which the OD450 was measured using the CCK-8 assay. The points in this figure show the average OD450 at each PD0325901 concentration or 0.1% DMSO. PD0325901 inhibited HCF proliferation in a concentration-dependent manner.