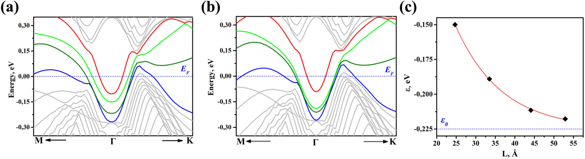
Figure 4

DFT simulated electron dispersion in the M–Г–К direction without considering the SOI. Models contain 41 atomic layers in which (a) the soliton is 25 Å below the surface and (b) 33.5 Å below the surface. The red and blue bands are TS states, while the light and dark green bands are SS bands close and far from the soliton, respectively. When the soliton is moved away from the surface towards the center of the slab the light green SS band is modified. (c) Dependence of the position of the SS bands at the Г point on the SS-TS separation. The data points corresponds to the calculated data, light and dark green in (a,b), while the red curve represents the fit of the calculated data by an exponential decay \(\varepsilon =-0.225+0.614{\text{exp}}(-\) L/11.8\()\).