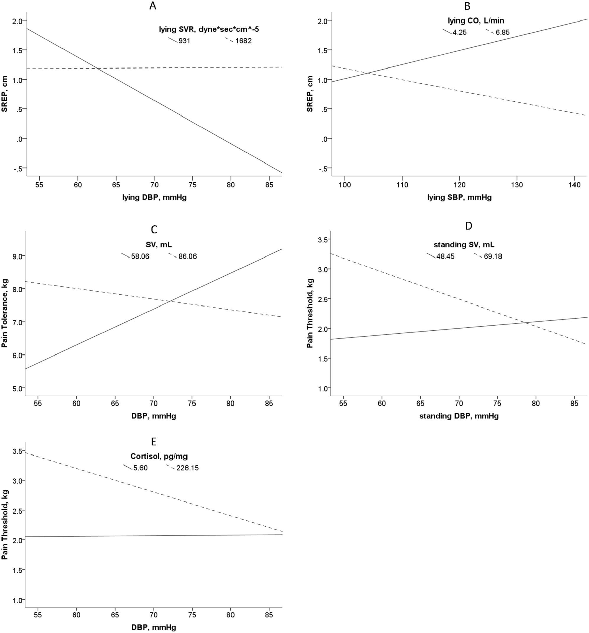
Figure 1

Interaction effects of lying diastolic blood pressure (DBP) and lying systemic vascular resistance (SVR) on ‘slowly repeated evoked pain’ (SREP) as a dynamic measure of pain sensitization (A). Interaction effects of lying systolic blood pressure (SBP) and lying cardiac output (CO) on ‘slowly repeated evoked pain’ (SREP) as a dynamic measure of pain sensitization (B). Interaction effects of tonic diastolic blood pressure (DBP) and tonic stroke volume (SV) on pain tolerance as a static measure of pain sensitization (C). Interaction effects of standing diastolic blood pressure (DBP) and standing stroke volume (SV) on pain threshold as a static measure of pain sensitization (D). Interaction effects of tonic diastolic blood pressure (DBP) and hair cortisol concentration (Cortisol) on pain threshold as a static measure of pain sensitization (E). As the surface stimulation area for eliciting pain was 1 cm2, the scales of pain tolerance and pain threshold, expressed in kilograms (kg), are equivalent to kg/cm2.