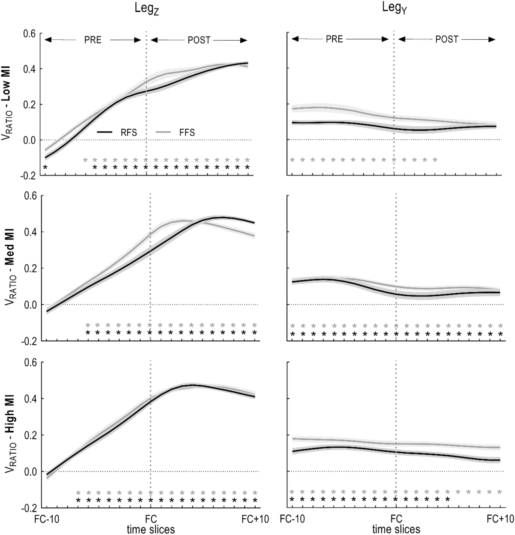
Figure 3

Mean ± SE ratio values for RFS and FFS groups. Time has been divided in two phases: PRE from 10 frames before foot contact (FC − 10) to foot contact (FC); and POST from FC to 10 frames after foot contact (FC + 10). Note: frames correspond to absolute time (ms); 1 frame = 4 ms. FC + 10 is ~ 15% of stance. * indicates statistically significant difference from the ‘Zero Control’ condition; grey colour refers to FFS, black colour refers to RFS group.