Figure 1
From: Concurrent predictors of mathematics achievement for 9-year-old children with Williams syndrome

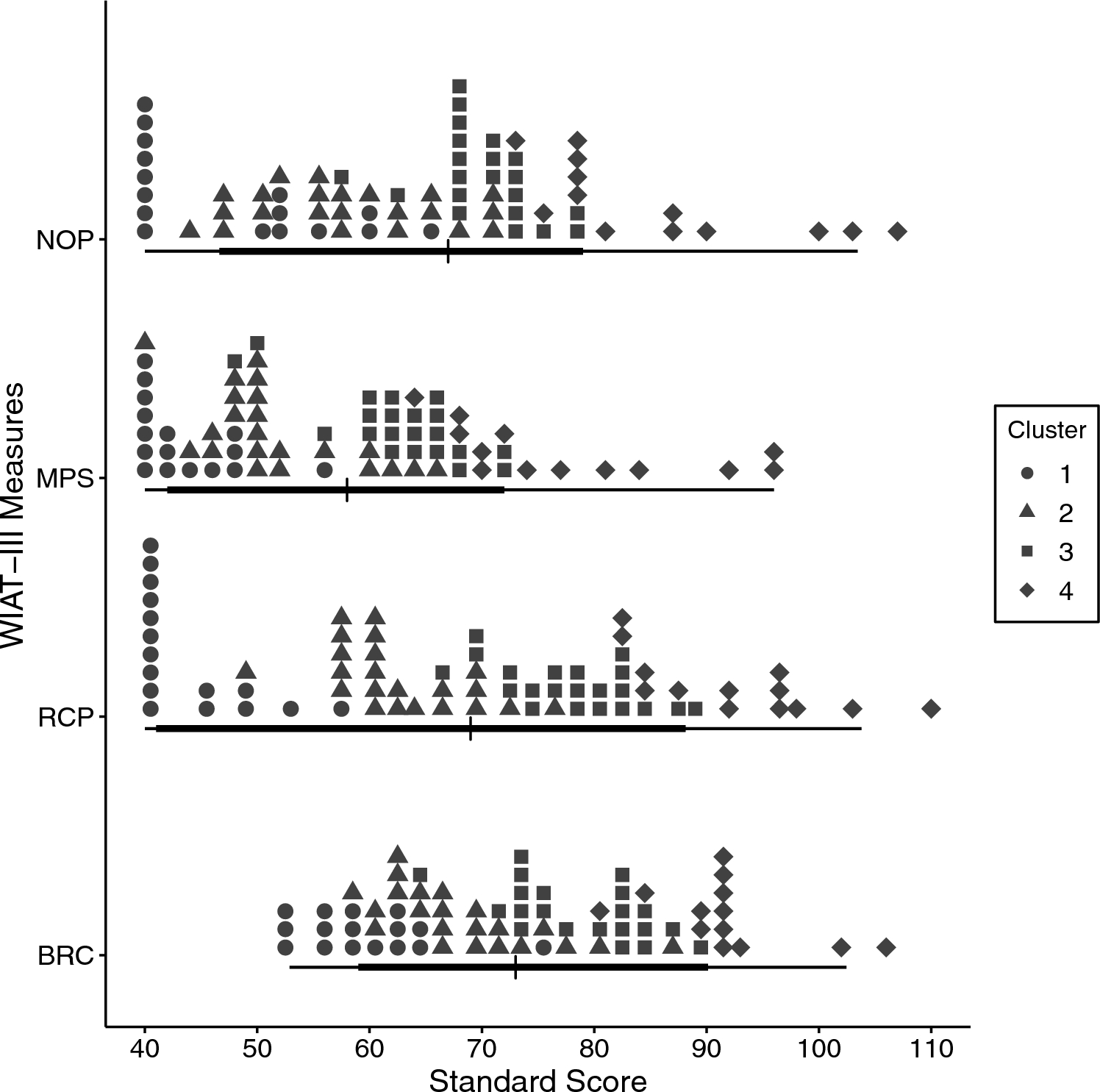
Distributions of standard scores on the Wechsler Individual Achievement Test-III (WIAT-III) Numerical Operations (NOP) subtest, Math Problem Solving (MPS) subtest, Reading Comprehension (RCP) subtest, and Basic Reading Composite (BRC) as a function of cluster. The thin bar under each box plot indicates the 95% confidence interval for the standard score, the thick bar indicates the 75% confidence interval, and the vertical line in the thick bar indicates the median.