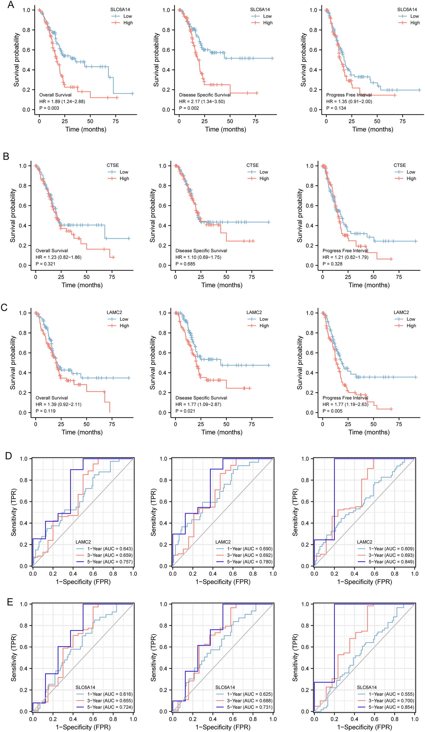
Figure 7

Kaplan–Meier survival curves comparing the high and low expression of LAMC2, CTSE and SLC6A14 in PC. (A) Survival curves of OS, DSS, and PFI between SLC6A14-high and -low patients with PC. (B) OS, DSS, and PFI survival curves for CTSE-high and -low patients with PC. (C) Compared OS, DSS, and PFI survival curves for LAMC2-high and -low patients with PC. (D,E) ROC analysis was used to evaluate the predictive power of LAMC2 and SLC6A14 for OS, DSS and PFI.