Figure 4
From: Prenatal alcohol exposure is associated with changes in placental gene co-expression networks

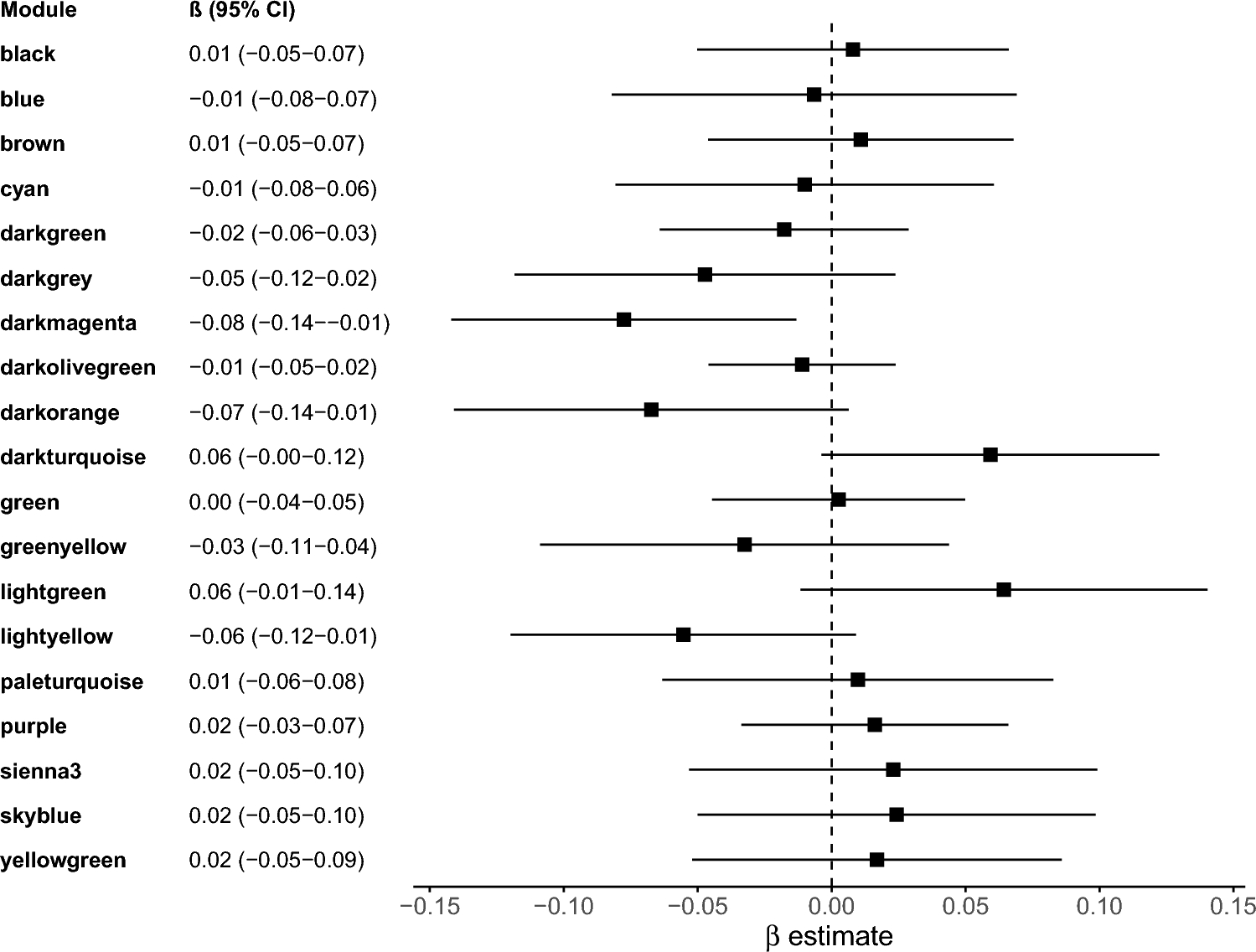
Placental coexpression modules associated with prenatal alcohol exposure. The forest plot depicts β estimates and 95% confidence intervals from linear regression models assessing the association between module eigengene values and alcohol exposure status, adjusting for potential confounders.