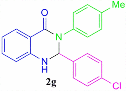
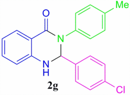
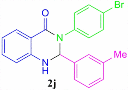
Table 2 Synthesis of dihydroquinazolin‑4(1H)‑ones.

From: Sulfonated magnetic spirulina nanobiomaterial as a novel and environmentally friendly catalyst for the synthesis of dihydroquinazolin-4(1H)-ones in aqueous medium

View full size image

Entry

Product

Yield (%)

M.P. /M.P. (oC)b

1

View full size image

93

205–206/207–20927

2

View full size image

95

213–215/216–21827

3

View full size image

94

223–224/221–22327

4

View full size image

92

224–226/223–22527

5

View full size image

92

204–206/205–20727

6

View full size image

96

215–217/211–21337

7

View full size image

91

273–275/273–27538

8

View full size image

96

250–252/247–25039

9

View full size image

96

209–211/205–20740

10

View full size image

87

187–189

11

View full size image

89

182–184

12

View full size image

85

175–177

  1. aIsolated yields.
  2. bLiterature references.