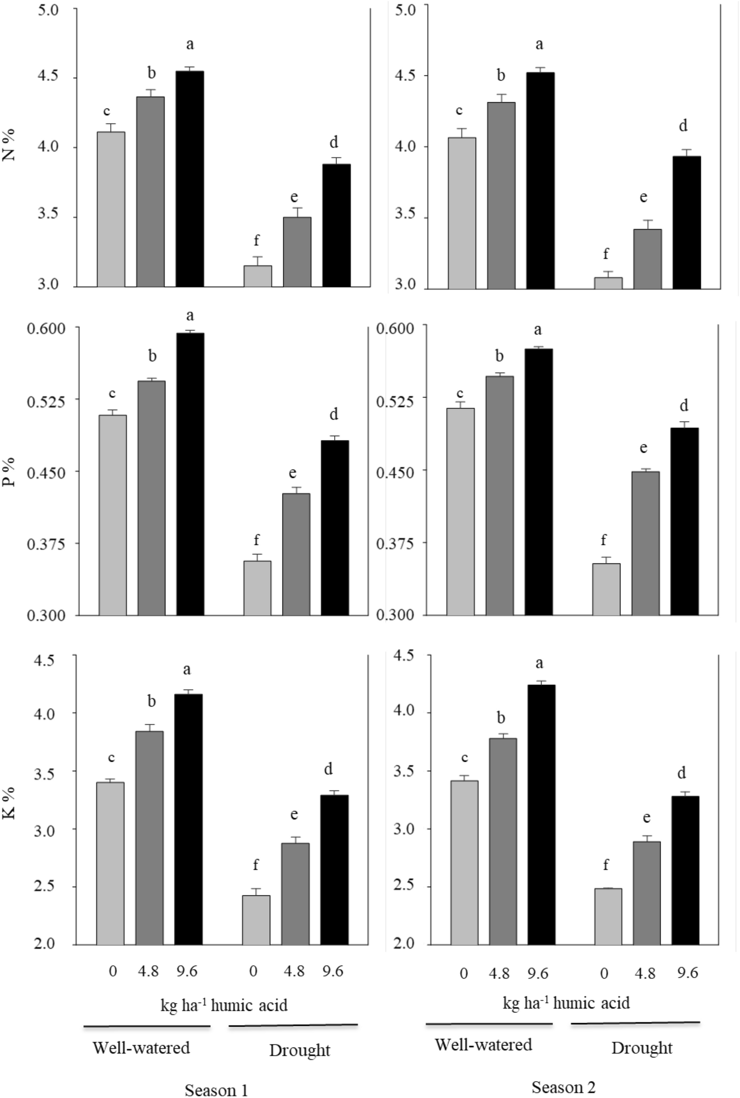
Figure 1
From: Mitigation of water stress in broccoli by soil application of humic acid

Effect of the interaction between irrigation regimes and soil application of humic acid on N, P, and K concentrations in broccoli leaves during the 2020–21 and 2021–22 seasons. Data are presented as the means ± SD (n = 3). Different letters mean significant differences among the treatments at P < 0.05 level.