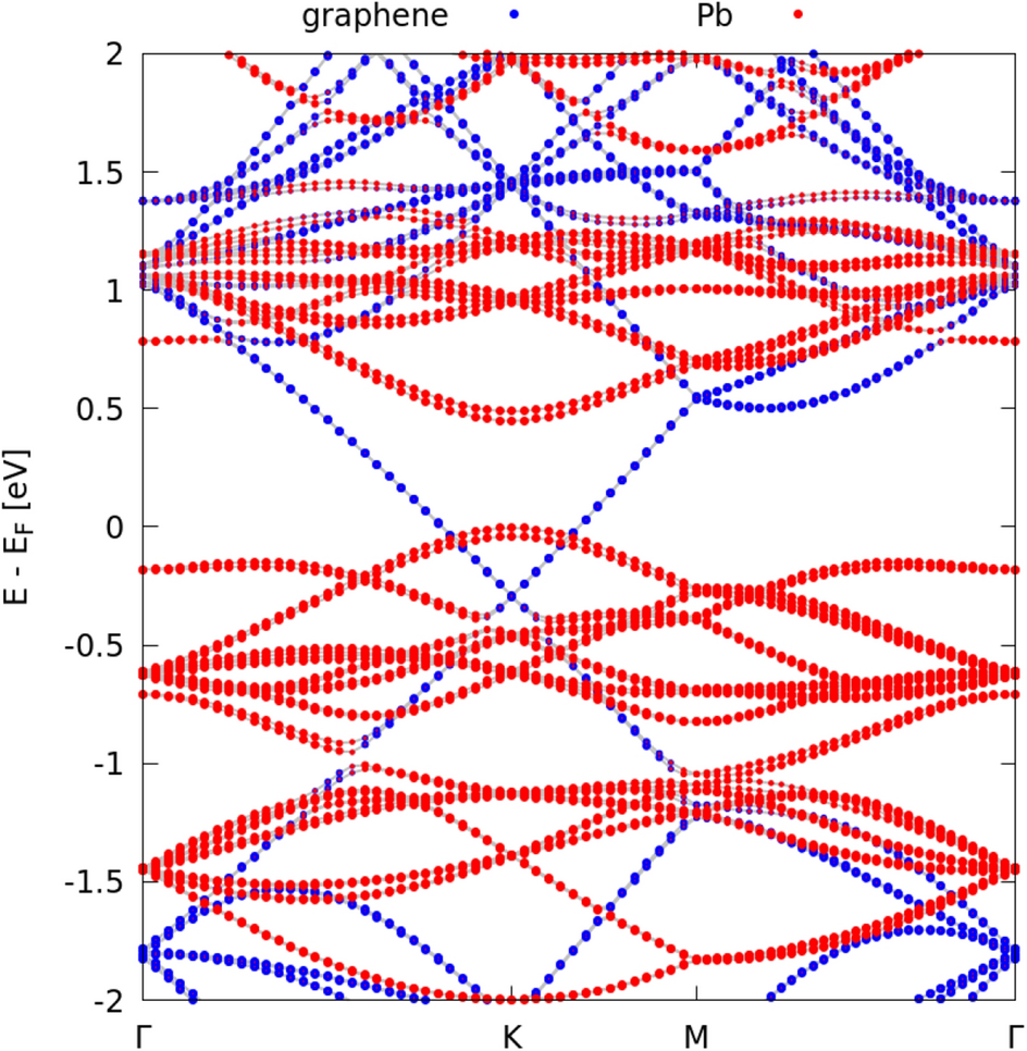
Figure 5

Band structure of the graphene-plumbene bilayer, peeled-off from the Gr/Pb/SiC heterostructure keeping the (\(\sqrt{7}\times \sqrt{7}\))R19.1\(^\circ\) cells and projected onto C (blue dots) and Pb (red dots) states. The Fermi energy is used as energy zero.