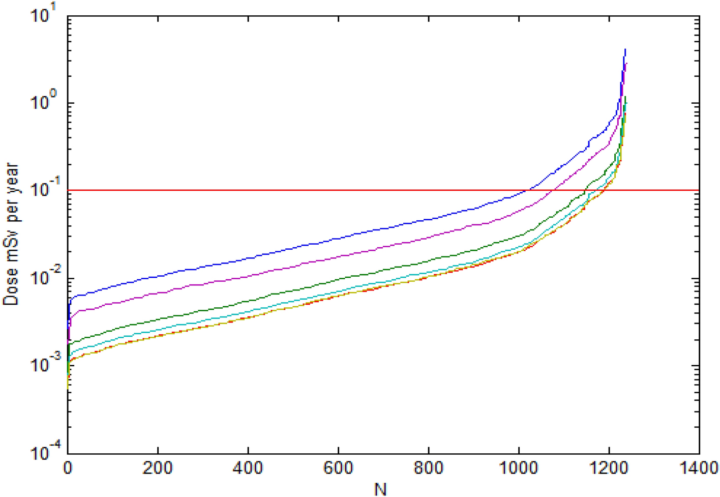
Figure 5

Distribution (ascending order) of irradiation doses, which were calculated for individual water samples and for representatives of different age groups. Curves correspond to age groups, from top to bottom: children under 1 year, adolescents 12–17 years, children aged 1–2 years, children aged 7–12 years, adults and children 2–7 years old.