Figure 8
From: Fast hybrid methods for modeling landslide susceptibility in Ardal County

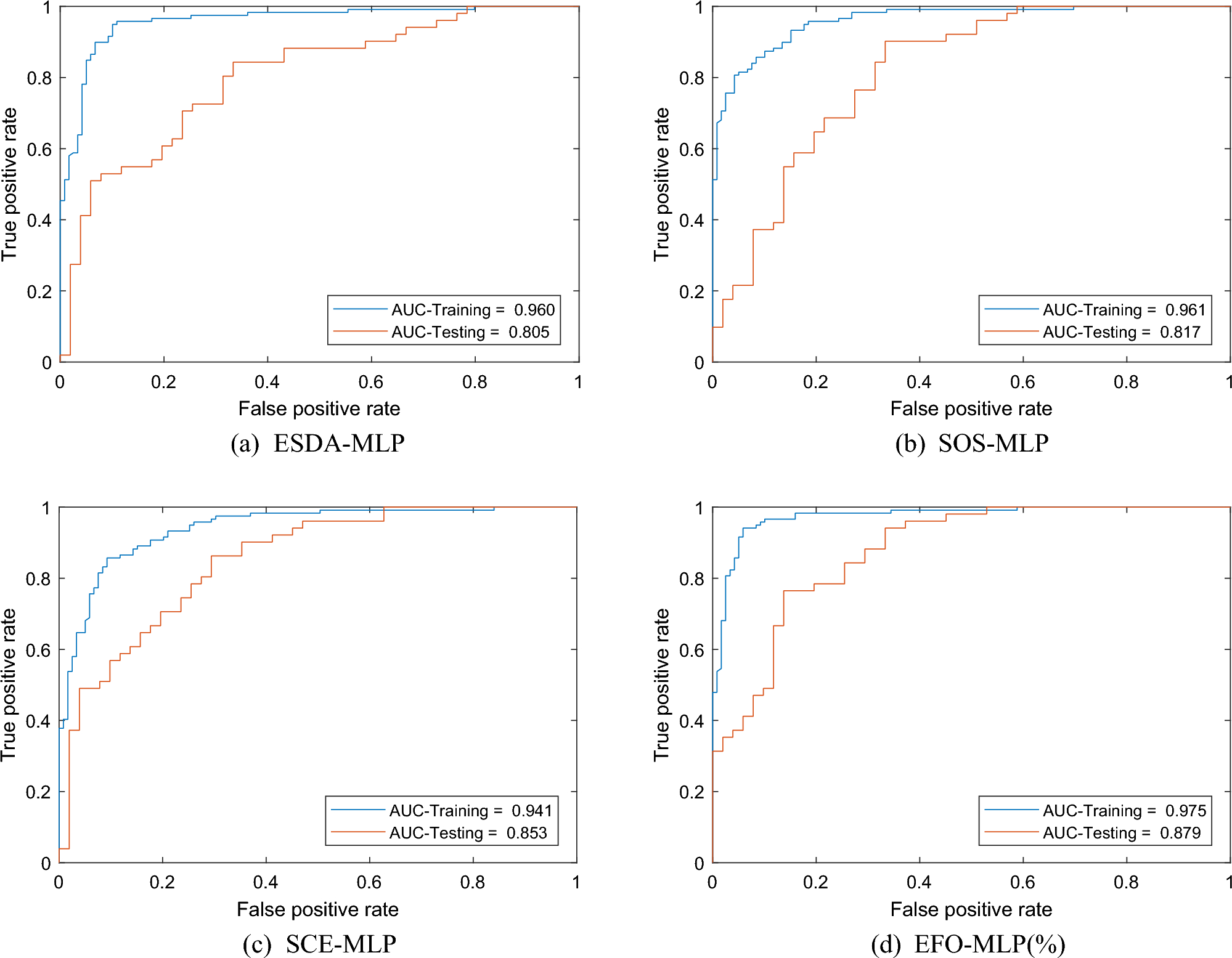
The ROC diagrams of the training and testing data of each model.
From: Fast hybrid methods for modeling landslide susceptibility in Ardal County

The ROC diagrams of the training and testing data of each model.