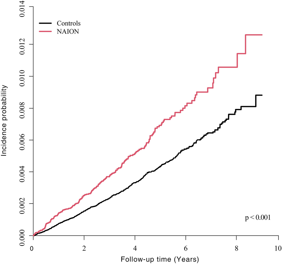
Figure 2

Kaplan–Meier curves of Parkinson’s disease by NAION. NAION, nonarteritic anterior ischemic optic neuropathy; Follow-up time (years), the time since the index date in the Kaplan–Meier survival analysis. The NAION group had a lower PD disease-free survival rate than the control group.