Figure 9
From: Identification of a novel macrophage-related prognostic signature in colorectal cancer

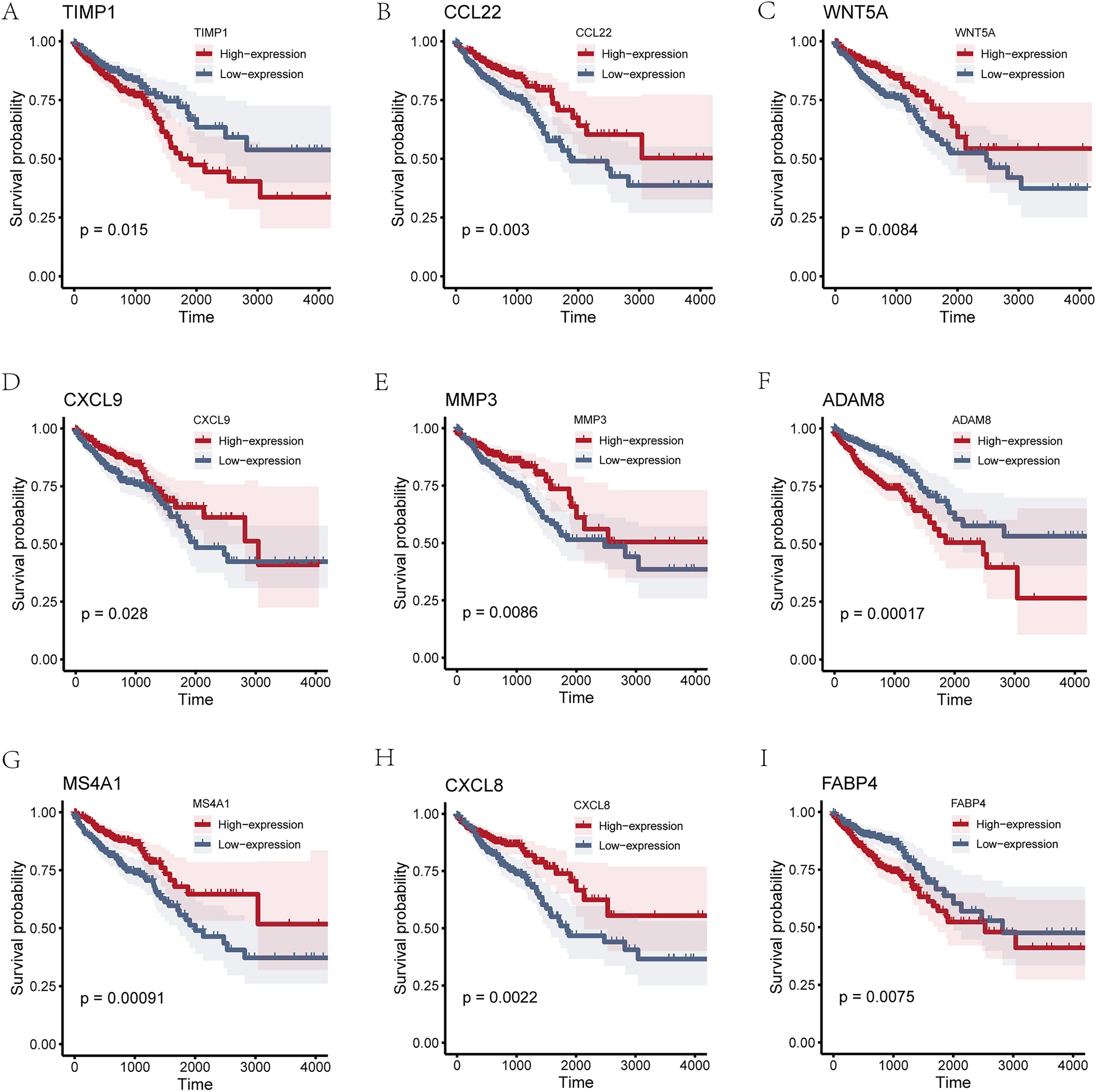
Prognostic performance of MRDEGs KM curve (OS) analysis. (A-I) The KM curve (OS) of MRDEGs was used to perform prognostic analysis. The low-expression group of colon cancer patient samples is represented by a blue line, while the high-expression group of colon cancer patient samples is represented by a red line. OS refers to overall survival, and the KM curve refers to the Kaplan–Meier curve. P < 0.05 refers to significant difference, P < 0.01 to high significant difference, and P < 0.001 to extremely high significant difference.