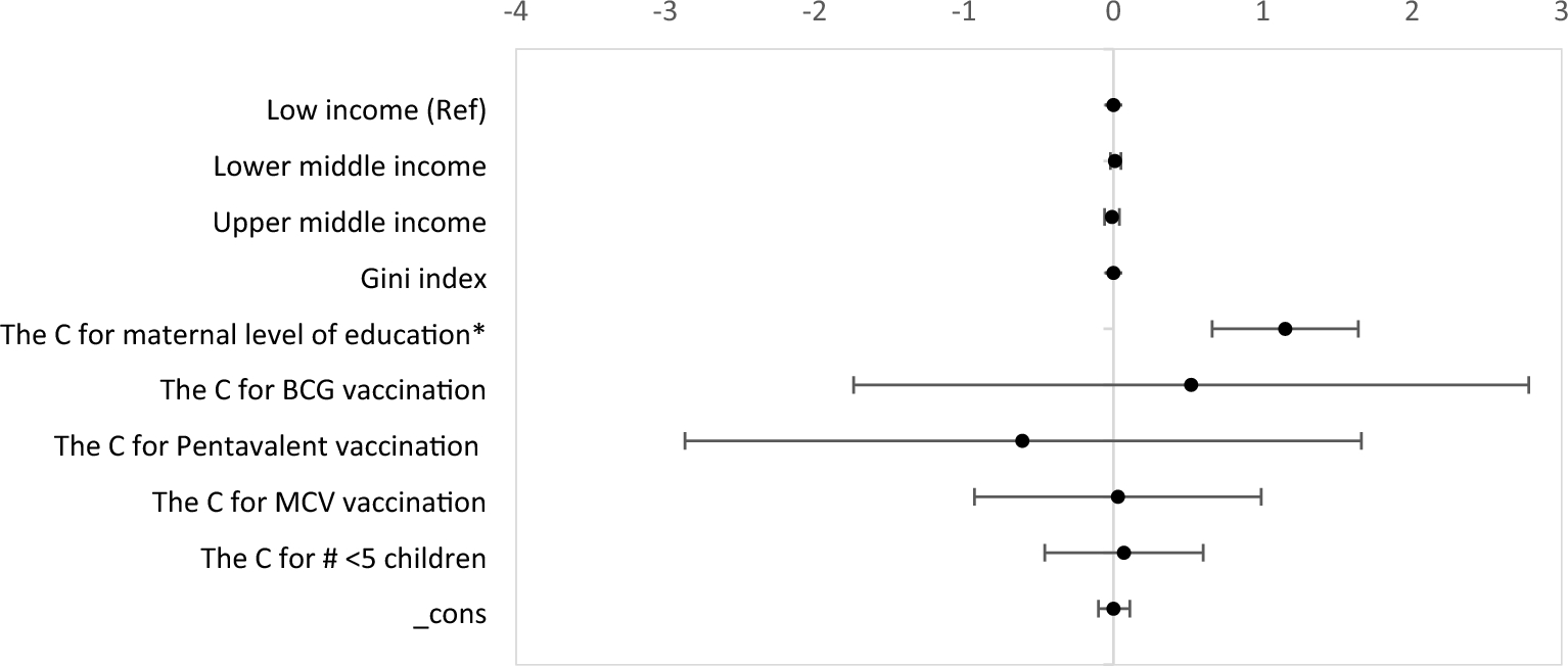
Figure 3

Factors affecting child undernutrition status in 24 selected low, lower middle, and upper-middle-income countries, 2017–2022.

Factors affecting child undernutrition status in 24 selected low, lower middle, and upper-middle-income countries, 2017–2022.