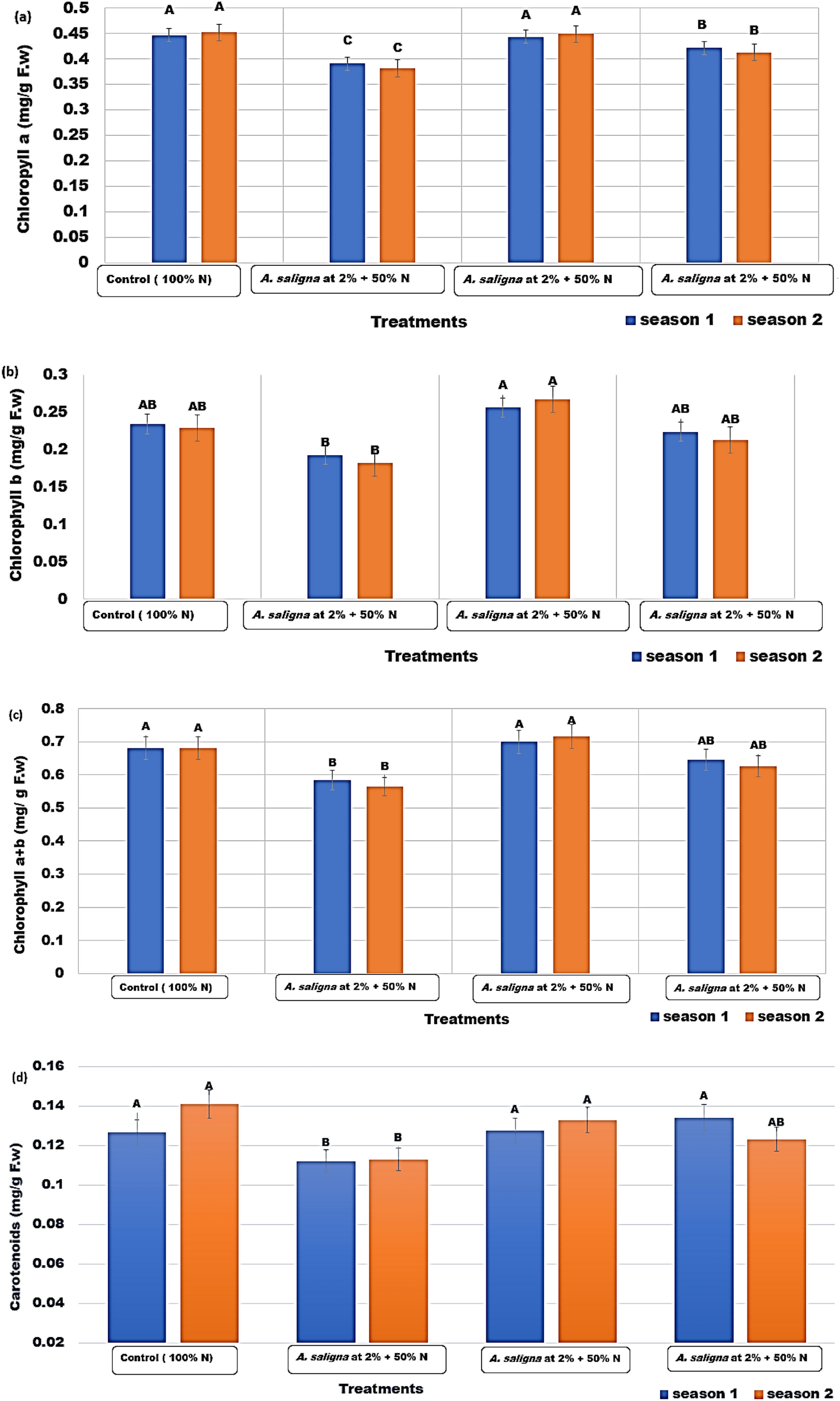
Figure 5

Characterization of photosynthetic pigments of C. sativum plants as affected by the treatments of A. saligna FAE + N fertilizer. (a) Chlorophyll a content (mg/g fw); (b) Chlorophyll b content (mg/g fw); (c) Chlorophylls a + b (mg/g fw), and (d) Carotenoids (mg/g fw). Letters in Figure indicated that, means ± S.E of treatments with the same letter/s were not significantly different according to LSD at 0.05 level of probability.