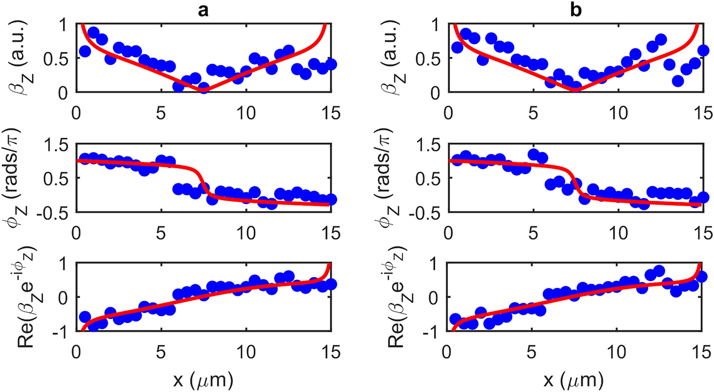
Figure 12

Magnitude \({\varvec{\beta}}_{{\varvec{z}}}\), phase \(\phi_{{\varvec{z}}}\) and real part \({\varvec{Re}}\left( {{\varvec{\beta}}_{{\varvec{z}}} {\varvec{e}}^{{ - {\varvec{i}}\phi_{{\varvec{z}}} }} } \right)\) of the out-of-plane field component associated with the plasmonic dipole mode excited in the DA under resonant excitation by THz radiation. Blue circles show measured values, obtained by THz-s-SNOM and applying the GPSA with (a) \({\varvec{N}} =\) 15 and (b) \({\varvec{N}} =\) 4 measurements per pixel, plotted as a function of position along the principal axis of the antenna. Also shown (red lines) are the corresponding values derived from FEM simulations shown in Fig. 9.