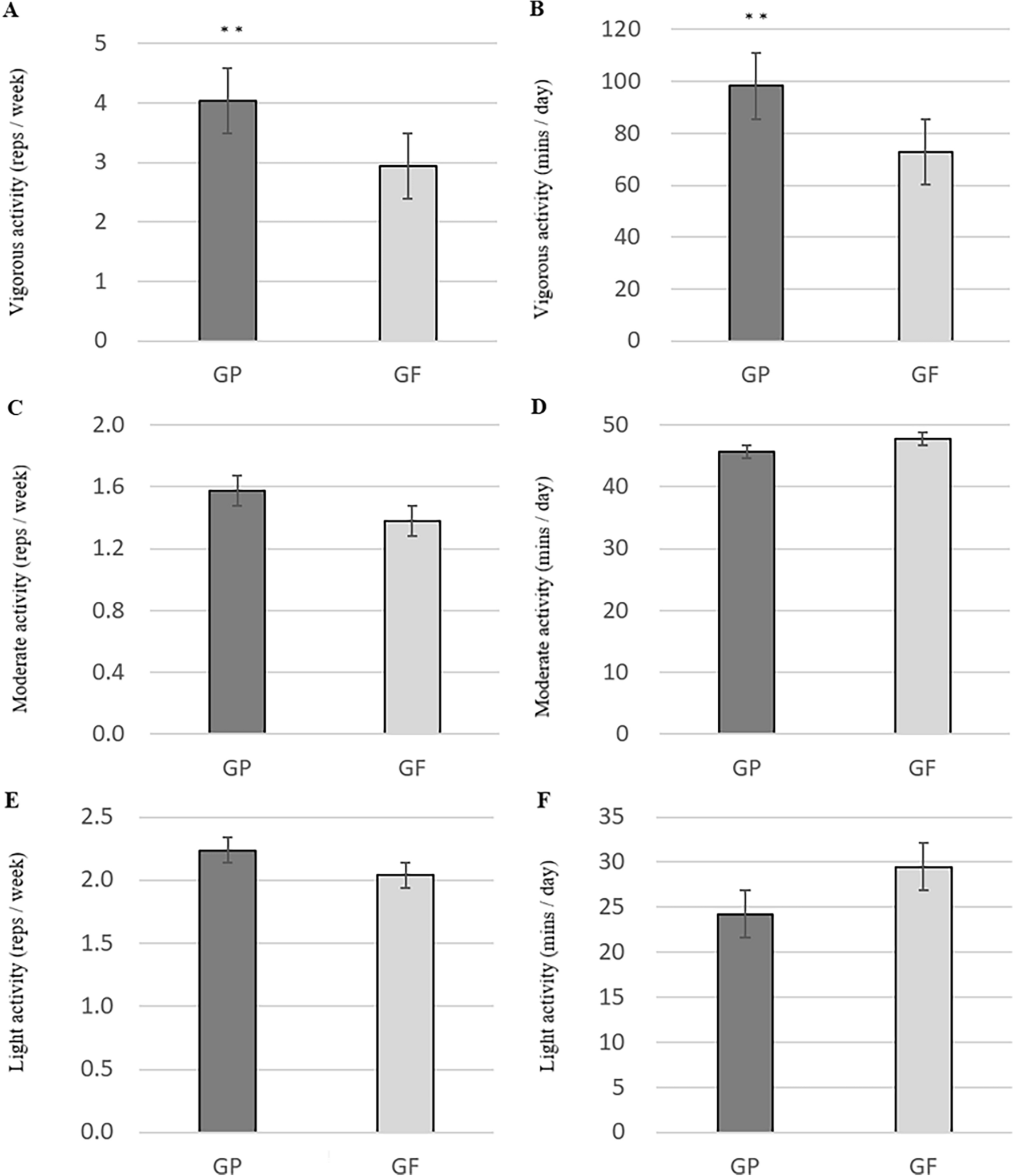
Figure 2

Change in physical activity by G-test result: (A) Vigorous activity (reps/week), (B) Vigorous activity (mins/day), (C) Moderate activity (reps/week), (D) Moderate activity (mins/day), (E) Light activity (reps/week), (F) Light activity (mins/day); GP, G-test pass group; GF, G-test fail group.