Figure 7
From: Orbit constraint of a small bead on a rotating large circular hoop in a horizontal plane

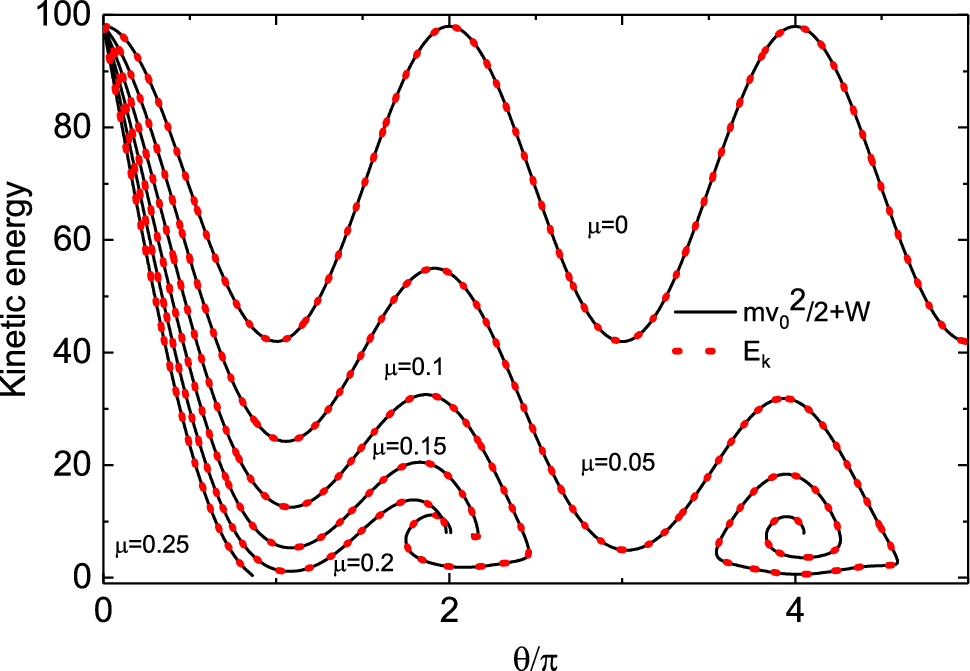
The relationship between kinetic energy and \(\theta\) of the bead under different friction coefficients \(\mu\). The dotted line and solid line are the calculation results on the left and right of Eq. (17) respectively. It can be seen from the figure that the two calculation results agree well and satisfy the kinetic energy theorem. This also ensures the accuracy of our calculation results.