Figure 7
From: Implementation of high step-up power converter for fuel cell application with hybrid MPPT controller

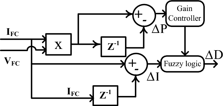
Identification of optimum duty signal by utilizing the fuzzy with HC controller.
From: Implementation of high step-up power converter for fuel cell application with hybrid MPPT controller

Identification of optimum duty signal by utilizing the fuzzy with HC controller.