Figure 3

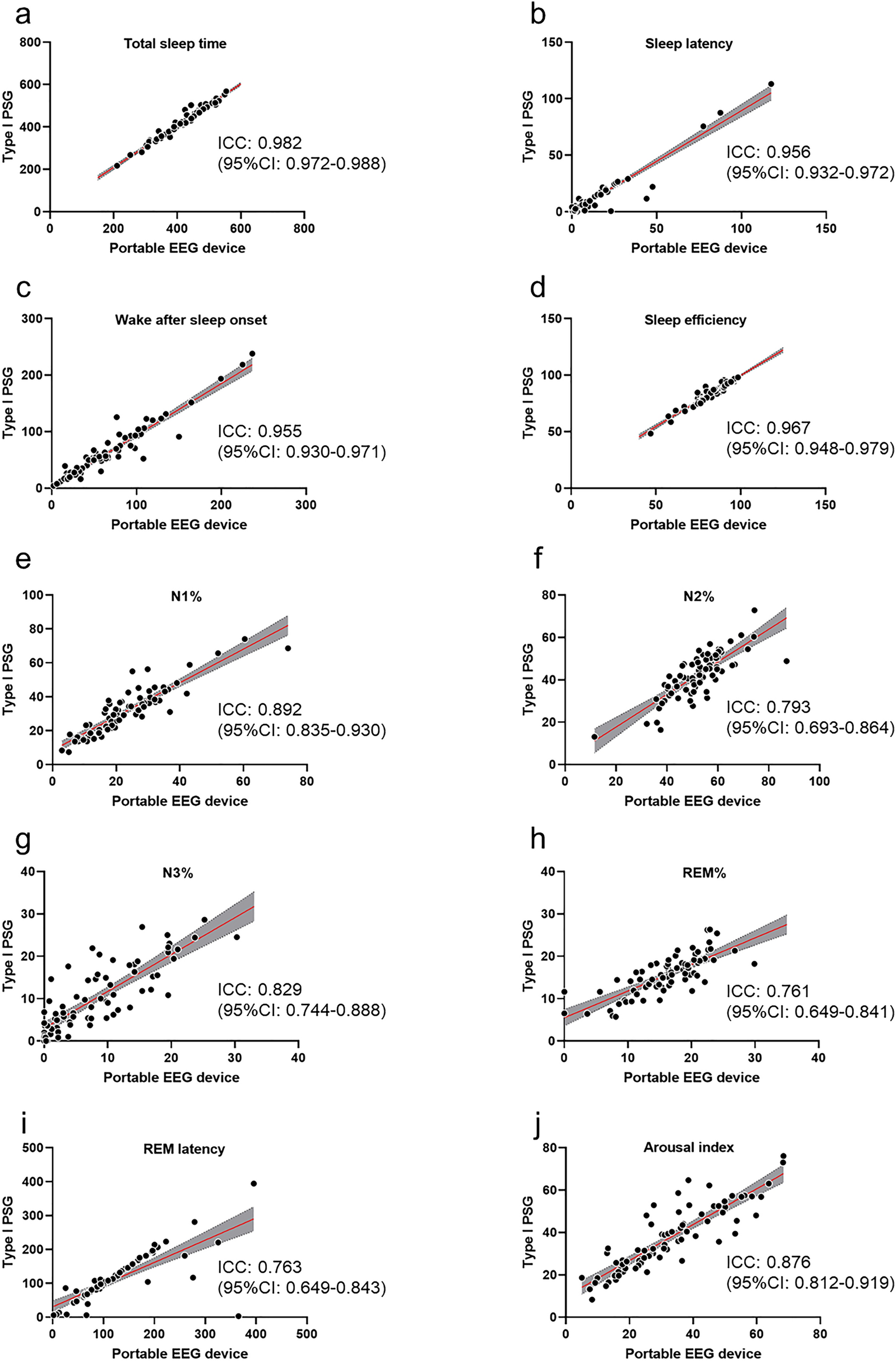
Relationship between the type I PSG and portable EEG device, showing the intraclass correlation coefficient (red solid line with 95% CI).

Relationship between the type I PSG and portable EEG device, showing the intraclass correlation coefficient (red solid line with 95% CI).