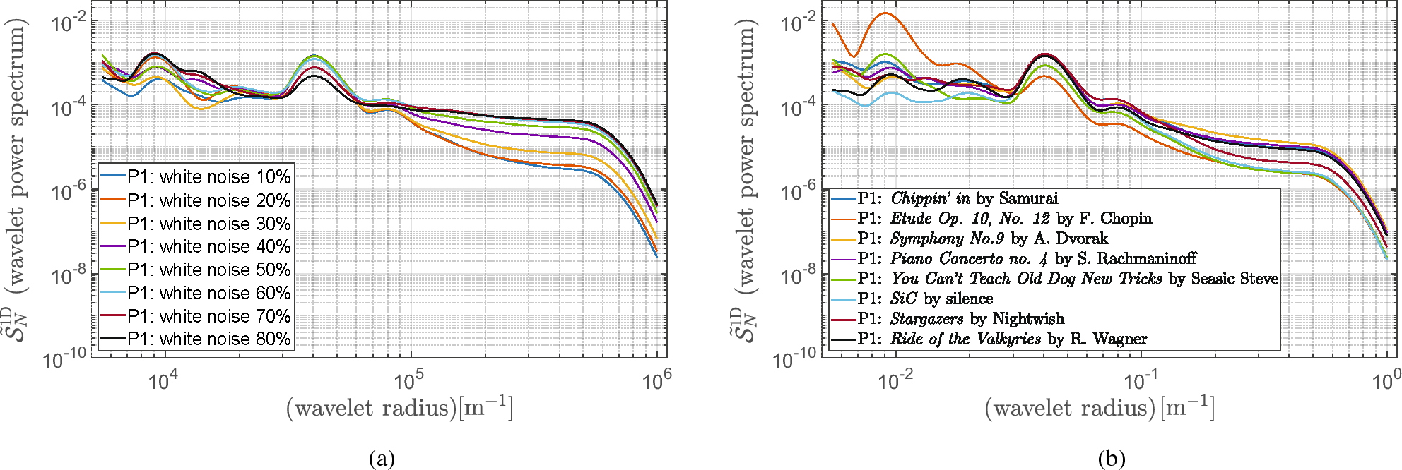
Figure 7
From: Wavelet-based information theory in quantitative assessment of AFM images’ quality

Wavelet power spectrum calculated for reference sample using Morlet wavelet \(\psi _{\textrm{M}}(6,1,1)\) for: (a) white noise; (b) music as noise model.