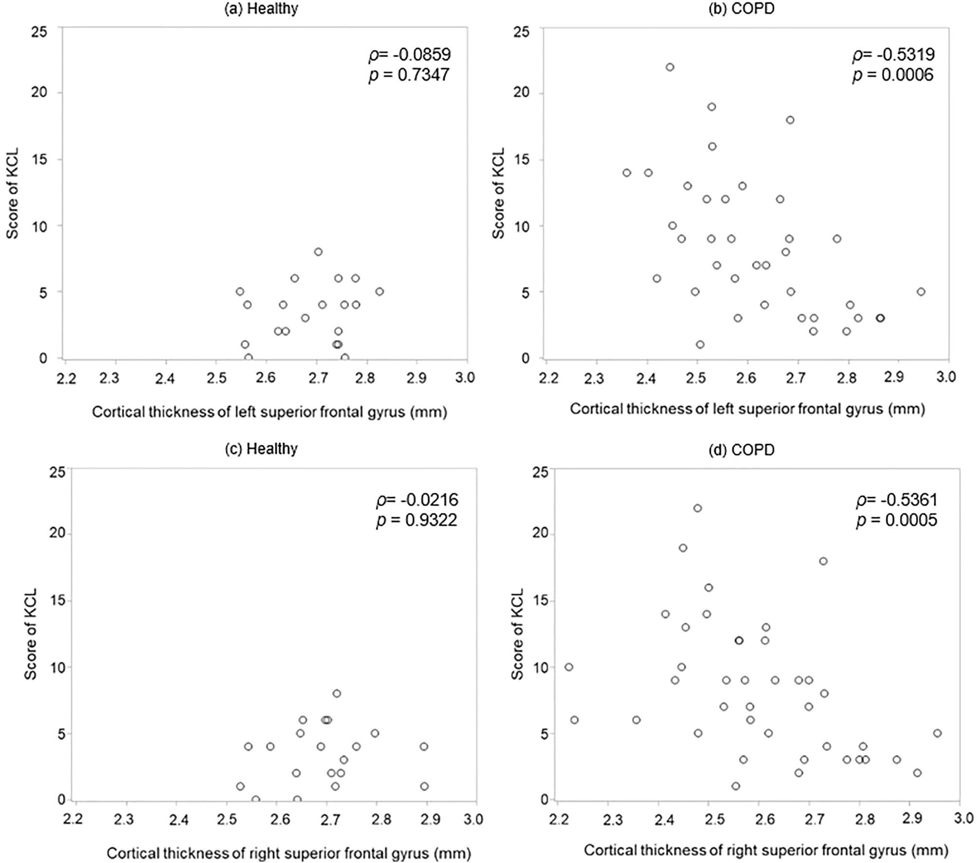
Figure 2

Frailty and cortical thickness reduction in the superior frontal gyrus. A scattergram of the association between the KCL score and cortical thickness of the superior frontal gyrus. (a) left side in the healthy, (b) left side in COPD, (c) right side in the healthy, (d) right side in COPD.