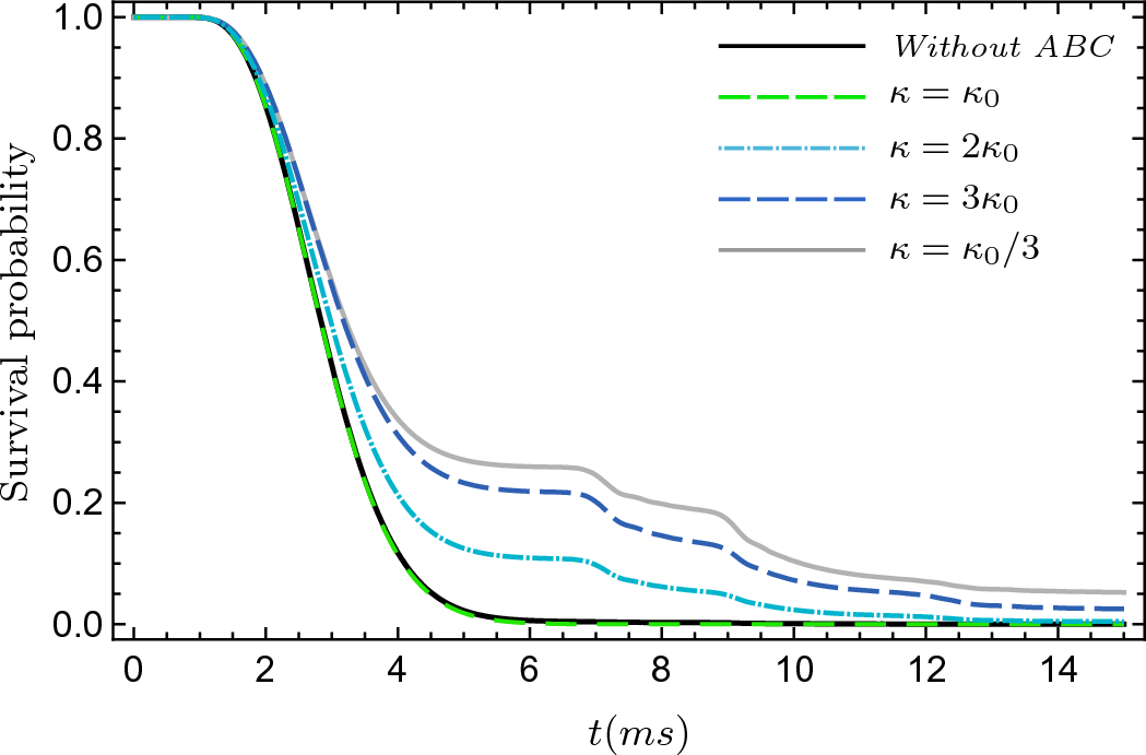
Figure 7

Survival probability of helium atoms in the two double-slit setup, with different detector characterizing constants \(\kappa\). The atoms are subject to gravity and are absorbed by the detectors with an absorbing boundary. The setup parameters are the same as in Fig. 6.