Figure 3
From: The mental burden of stay-at-home order extensions during COVID-19

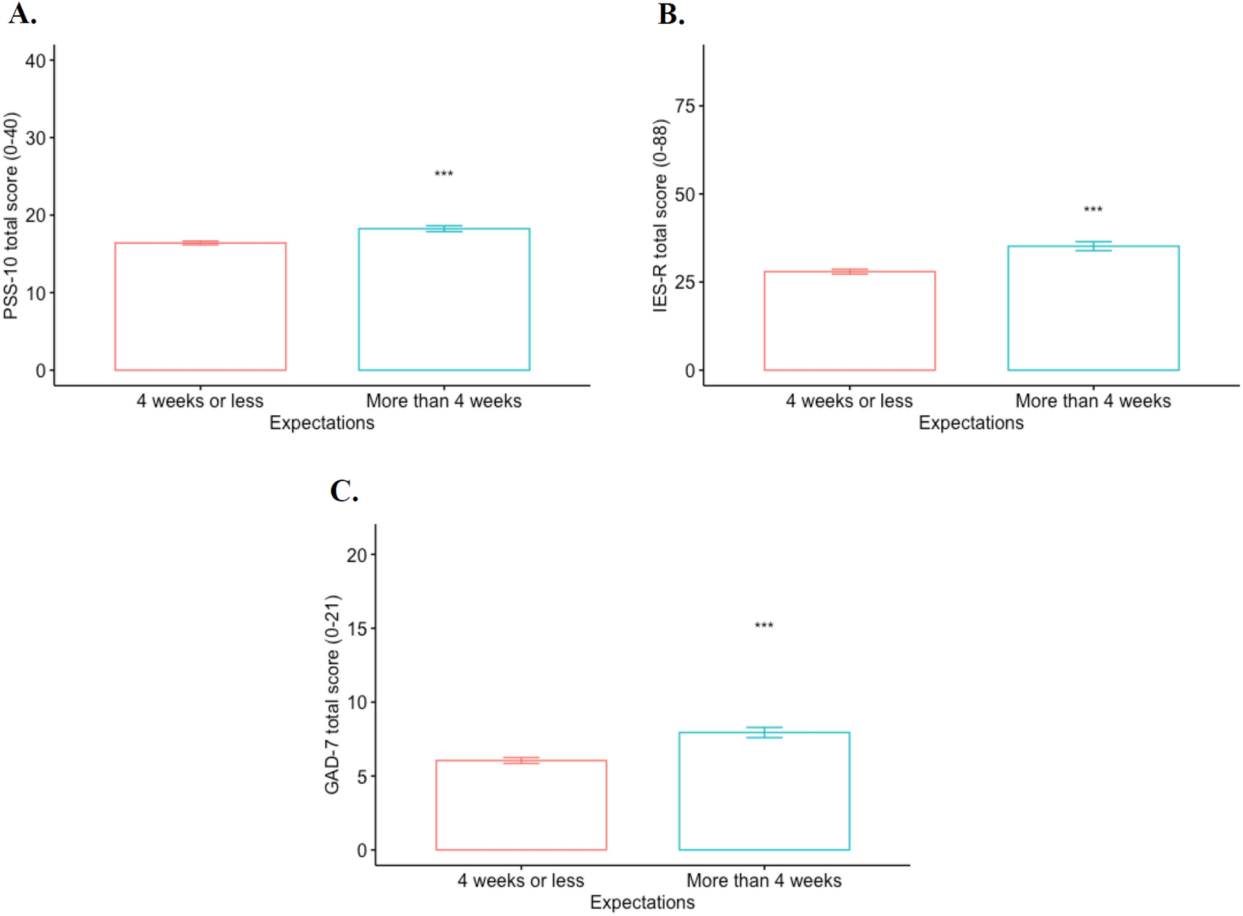
Psychological total scores by expectation category. (A) PSS-10 total score by expectation category. (B) IES-R total score by expectation category. (C) GAD-7 total score by expectation category. ***p < 0.01, **p < 0.05, and *p < 0.10; mean comparisons between two categories are performed using t-tests; scores for the Two extension treatment correspond to those elicited after the second 2-week extension.