Figure 4
From: Investigating the impacts of airborne dust on herbicide performance on Amaranthus retroflexus

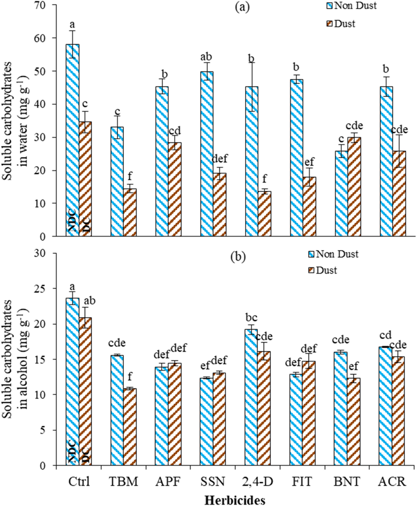
Effect of interaction of dust and herbicides on soluble carbohydrates content in water (a) and alcohol (b) of A. retroflexus leaves. The mean with the same letter is not statistically different (LSD = 0.05). The bars indicate the standard error. (Ctrl: untreated control, DC and NDC: dust and non-dust control, TMB: tribenuron-methyl, APF: aminopyralid + florasulam, SSN: Sulfosulfuron, 2,4-D: 2,4-D + MCPA, FIT: foramsulfuron + iodosulfuron + thiencarbazone, BNT: bentazon, ACR: Acetochlor).