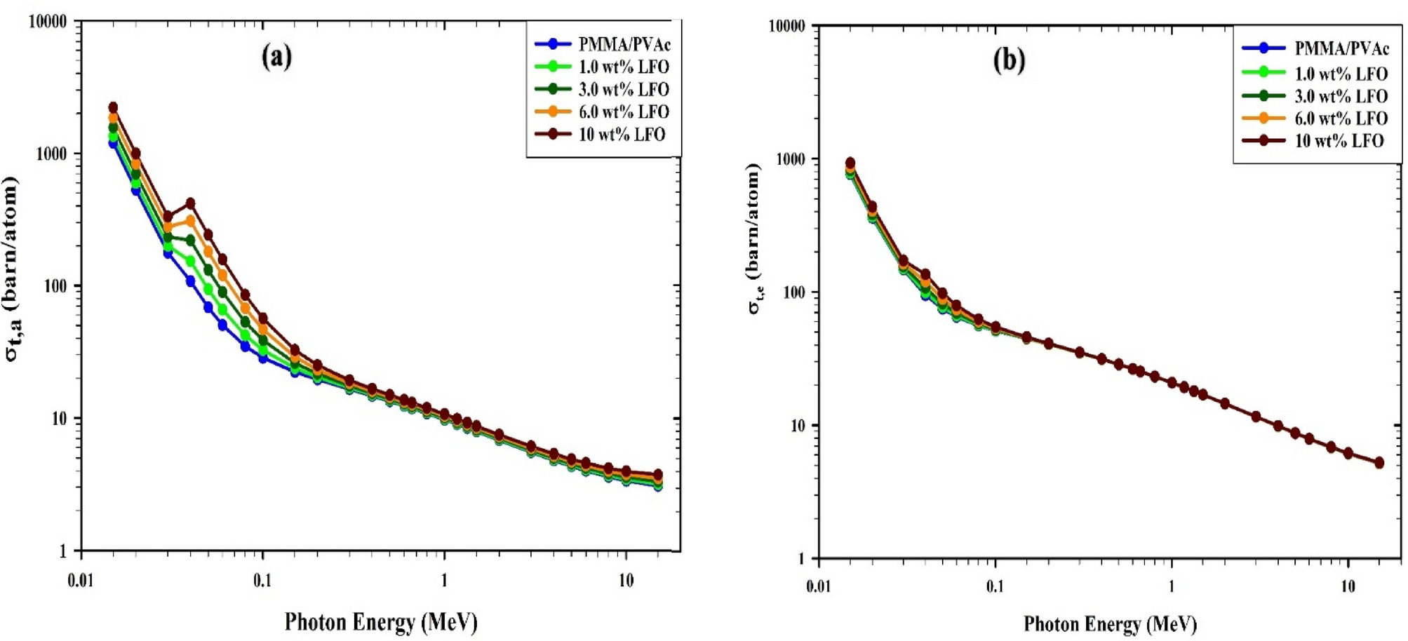
Figure 14

Variation (a) the total atomic cross section (σt, a), (b) the total electronic cross section (σt, e) versus the photon energy for PMMA/PVAc + x% LaFeO3 composite films.

Variation (a) the total atomic cross section (σt, a), (b) the total electronic cross section (σt, e) versus the photon energy for PMMA/PVAc + x% LaFeO3 composite films.