Figure 2
From: New role of fat-free mass in cancer risk linked with genetic predisposition

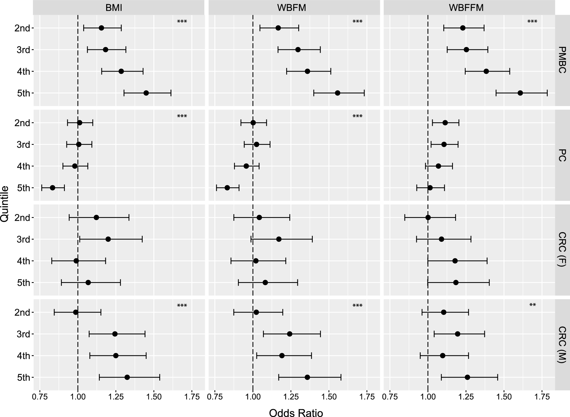
Association anthropometric traits with cancer risk. Odds ratio (95% CI) across quintiles of BMI, WBFM and WBFFM with post-menopausal breast, prostate and colorectal cancer (men and women are shown separately). Covariates for each model are detailed in the methods section. Quintile 1 is the reference category, with the 5th quintile denoting individuals in the highest fifth of each measurement. BMI body mass index, WBFM whole body fat mass, WBFFM whole body fat-free mass, PMBC post-menopausal breast cancer, PC prostate cancer, CRC (F) colorectal cancer in women, CRC (M) colorectal cancer in men. **p trend < 0.01, ***p trend < 0.001.