Figure 3
From: Hymenopteran parasitoid complex and fall armyworm: a case study in eastern India

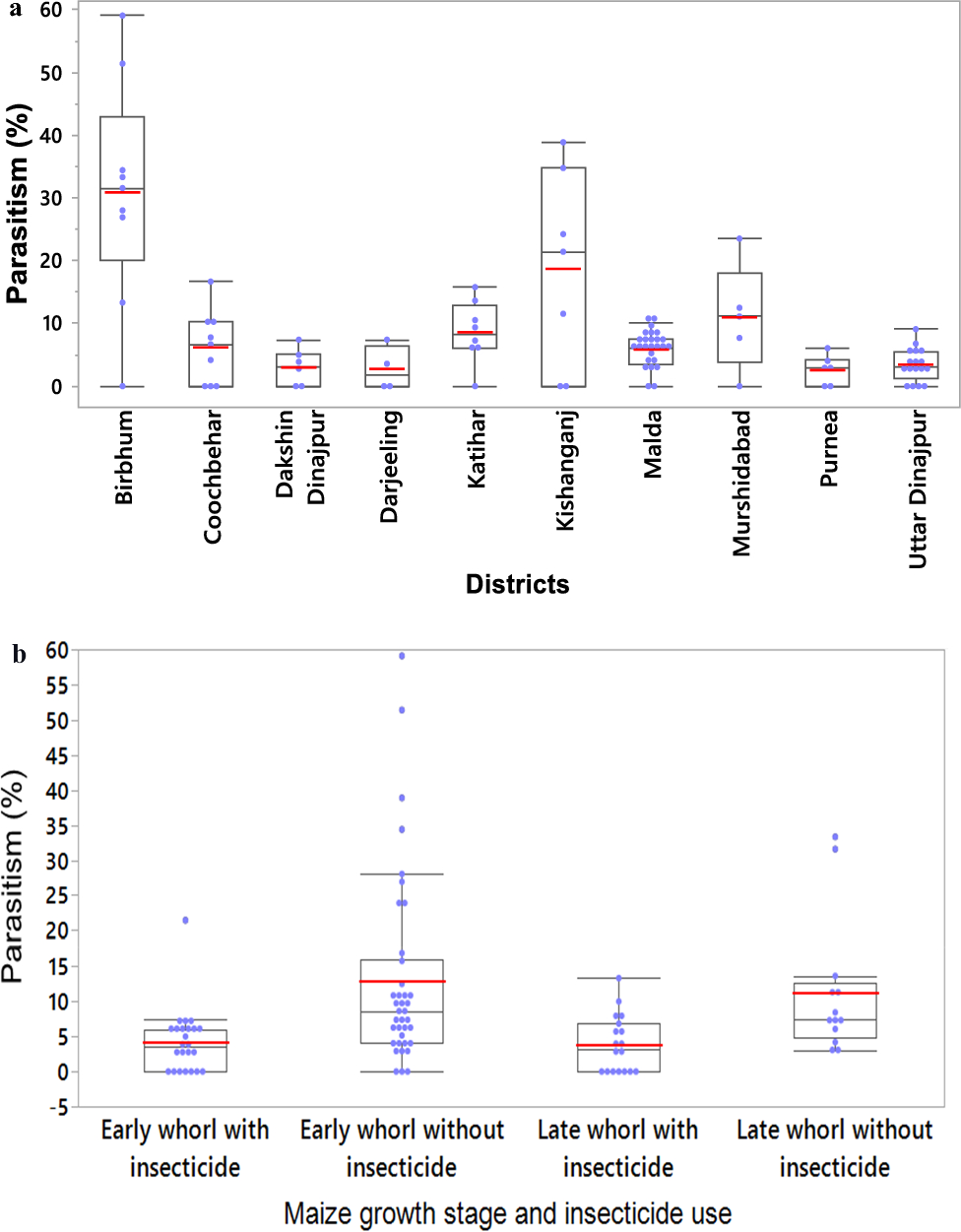
Parasitism rate of FAW (a) across the Indian Eastern Gangetic Plains (n = 93, p < 0.0001) and (b) affected by applying chemical insecticides (n = 93, p = 0.0017). Birbhum district showed the highest parasitism rate 30.90 ± 2.55% (0.0–59.09%). Crop growth stages without applying chemical insecticides also recorded significantly higher parasitism rates, with the highest rate of 12.90 ± 1.63% (0.0–59.09%) observed in the early whorl stage.