Figure 4
From: Analytical evaluation of circulating tumor DNA sequencing assays

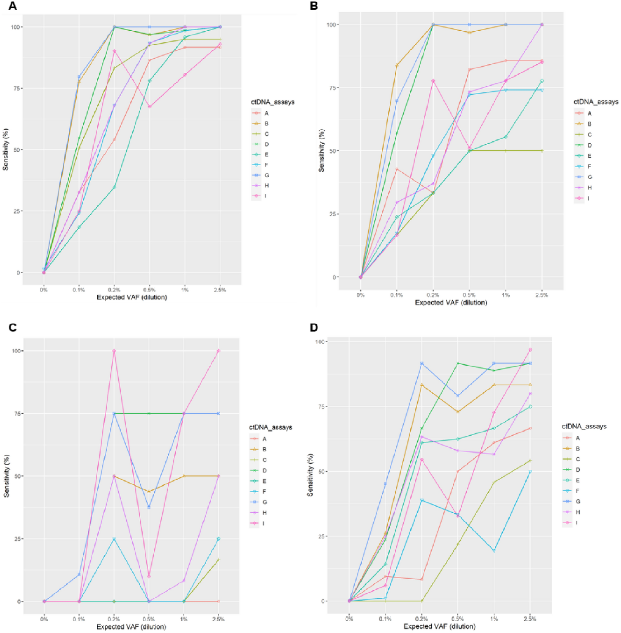
Sensitivity comparison according to variant type. (A) SNVs, (B) InDels, (C) CNVs, and (D) SVs using known on-target variants as references. CNV copy number variant, InDel insertion or deletion variant, SNV single nucleotide variant, SV structural variant, VAF variant allele frequency.