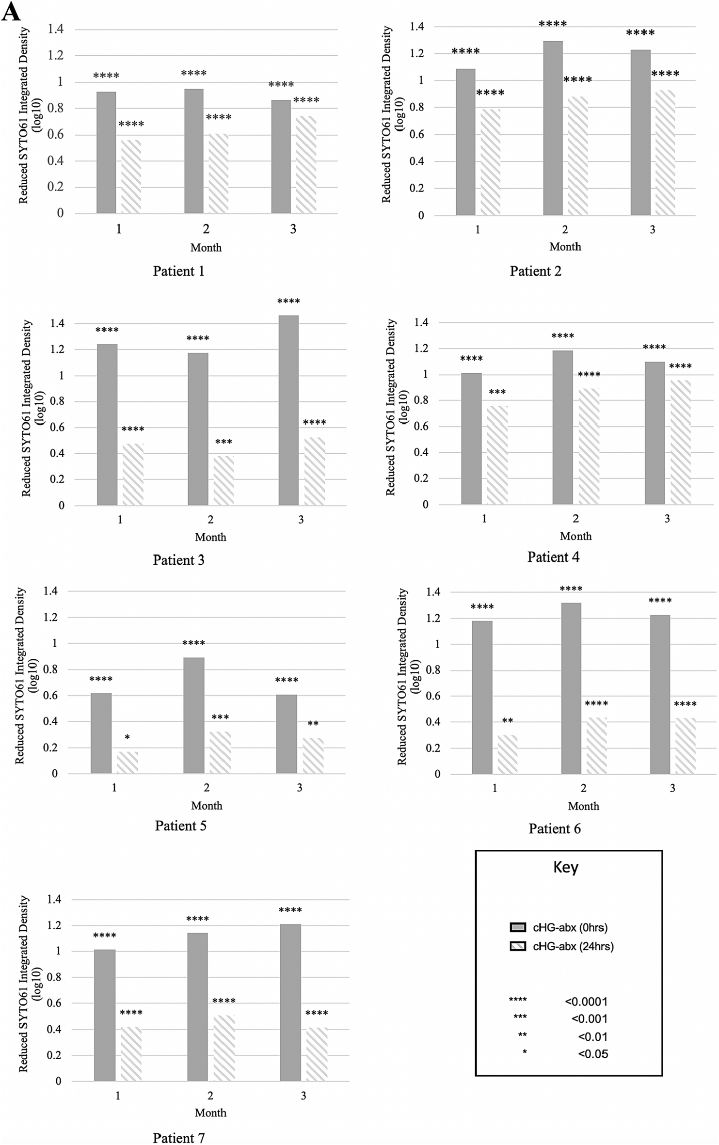
Figure 5


SYTO61 Biofilm eradication. (A) Hydrogels were either cHG only (control), loaded with optimal, wound-specific antibiotics not pre-eluted (0 h) or pre-eluted to 24 h, and then used to treat biofilms formed by chronic wounds. (B) Patient five, month three chronic wound biofilm either treated with blank hydrogel (cHG only), tailored antibiotics (clindamycin and gentamicin) not pre-eluted (0 h), or antibiotics pre-eluted for 24 h. All combinations were statistically effective at biofilm elimination 0 and 24 h of pre-elution. Red fluorescence indicates the presence of biofilm.