Figure 5
From: Enhanced tetracycline degradation with TiO2/natural pyrite S-scheme photocatalyst



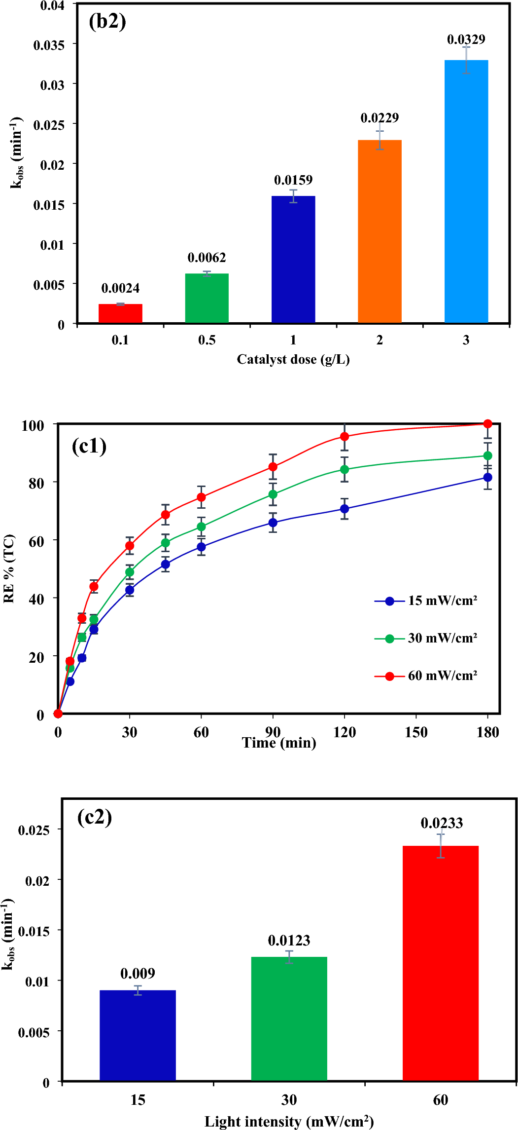
Effects of operational parameters and variation profiles of pseudo-first-order rate constants of TC degradation: (a) initial pH; (b) catalyst dose; (c) light intensity; (d) TC concentration (Reaction conditions: (a): catalyst dose = 1 g/L, [TC] = 30 mg/L and light intensity = 60 mW/cm2; (b): ([TC] = 30 mg/L, pH = 7 and light intensity = 60 mW/cm2; (c): TC] = 30 mg/L, pH = 7 and catalyst dose = 2 g/L; (d): pH = 7 and catalyst dose = 2 g/L and light intensity = 60 mW/cm2).