Figure 5
From: Machine learning enhanced evaluation of semiconductor quantum dots

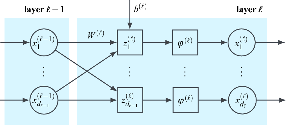
Schematic representation of a layer in a feed-forward NN.
From: Machine learning enhanced evaluation of semiconductor quantum dots

Schematic representation of a layer in a feed-forward NN.