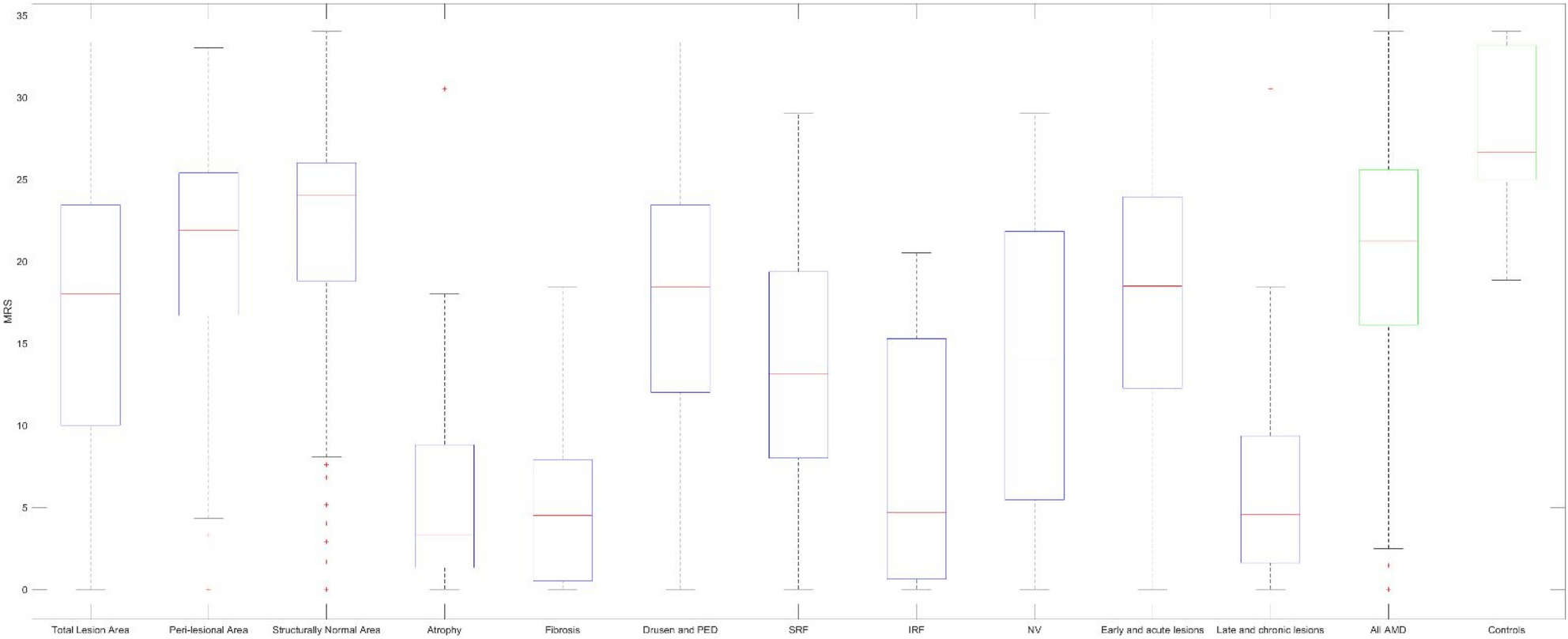
Figure 5

Box-plot diagram of mean retinal sensitivity of various pathological AMD lesions. Peri-lesional areas referred to 1 degree of visual angle (0.3 mm border thickness) from boundaries of AMD-related pathological lesions (Fig. 1). Structurally normal areas referred to areas of the retina in AMD eyes with no apparent pathological lesions, i.e. excluding lesion areas and peri-lesional areas.