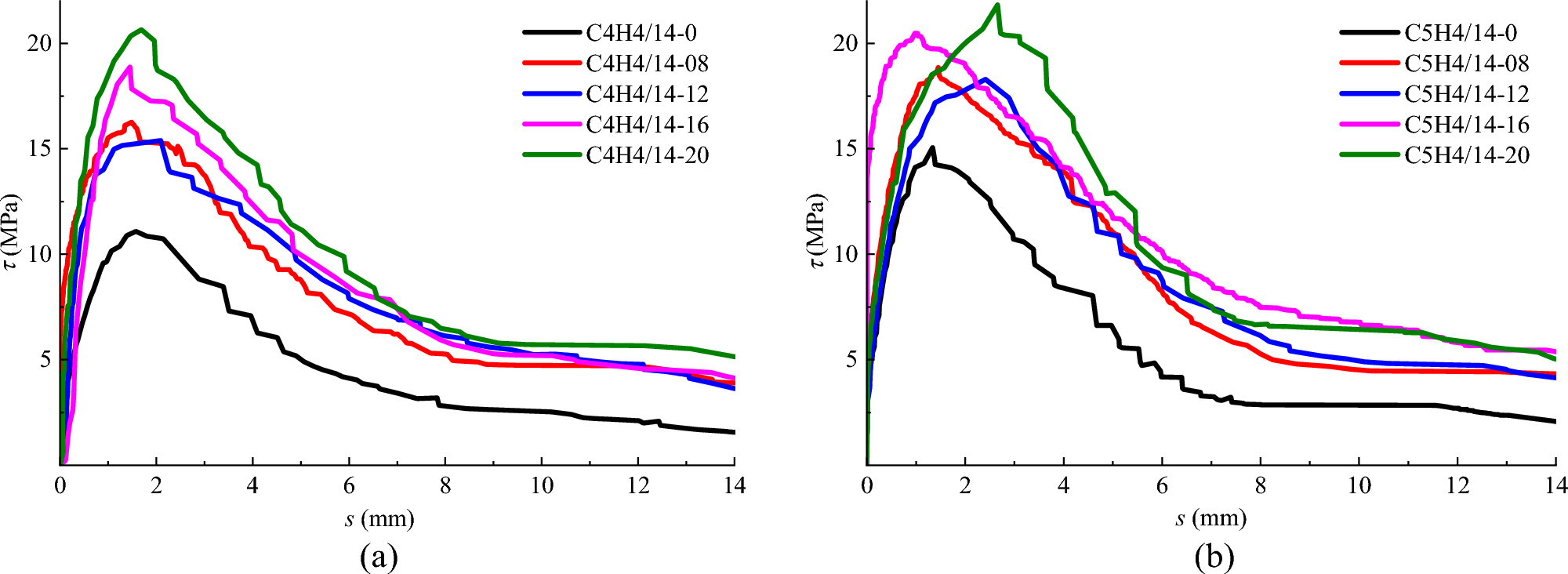
Figure 10

Bond stress-slip curves of specimens with different volume fraction of steel fibre. (a) C40 concrete and d=14 mm (b) C50 concrete and d=14 mm.

Bond stress-slip curves of specimens with different volume fraction of steel fibre. (a) C40 concrete and d=14 mm (b) C50 concrete and d=14 mm.