Figure 7

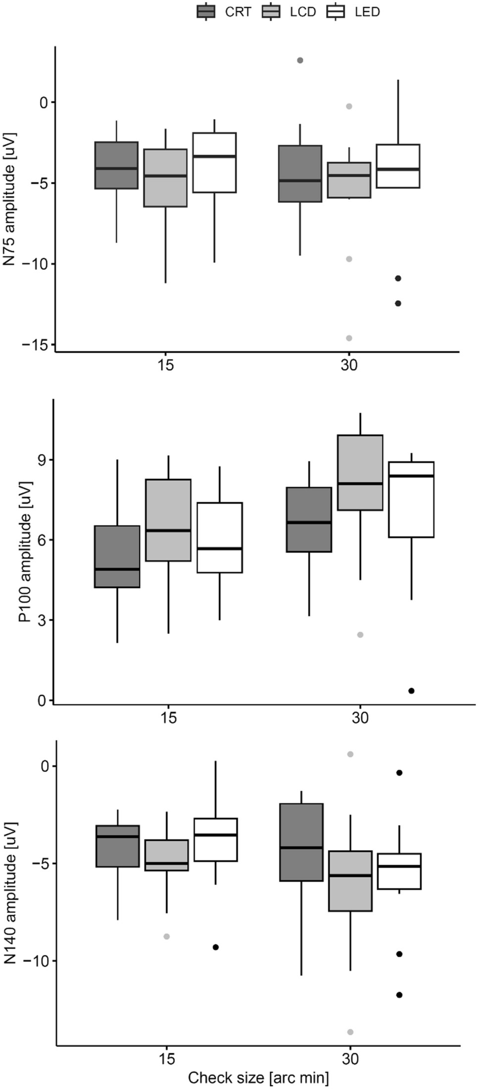
Comparison of the PR VEP amplitudes measured for individual displays—CRT, LCD, and LED. For stimulation patterns with PR 30′, they are grouped on the right, and for patterns with PR 15′, they are grouped on the left of the figure.

Comparison of the PR VEP amplitudes measured for individual displays—CRT, LCD, and LED. For stimulation patterns with PR 30′, they are grouped on the right, and for patterns with PR 15′, they are grouped on the left of the figure.