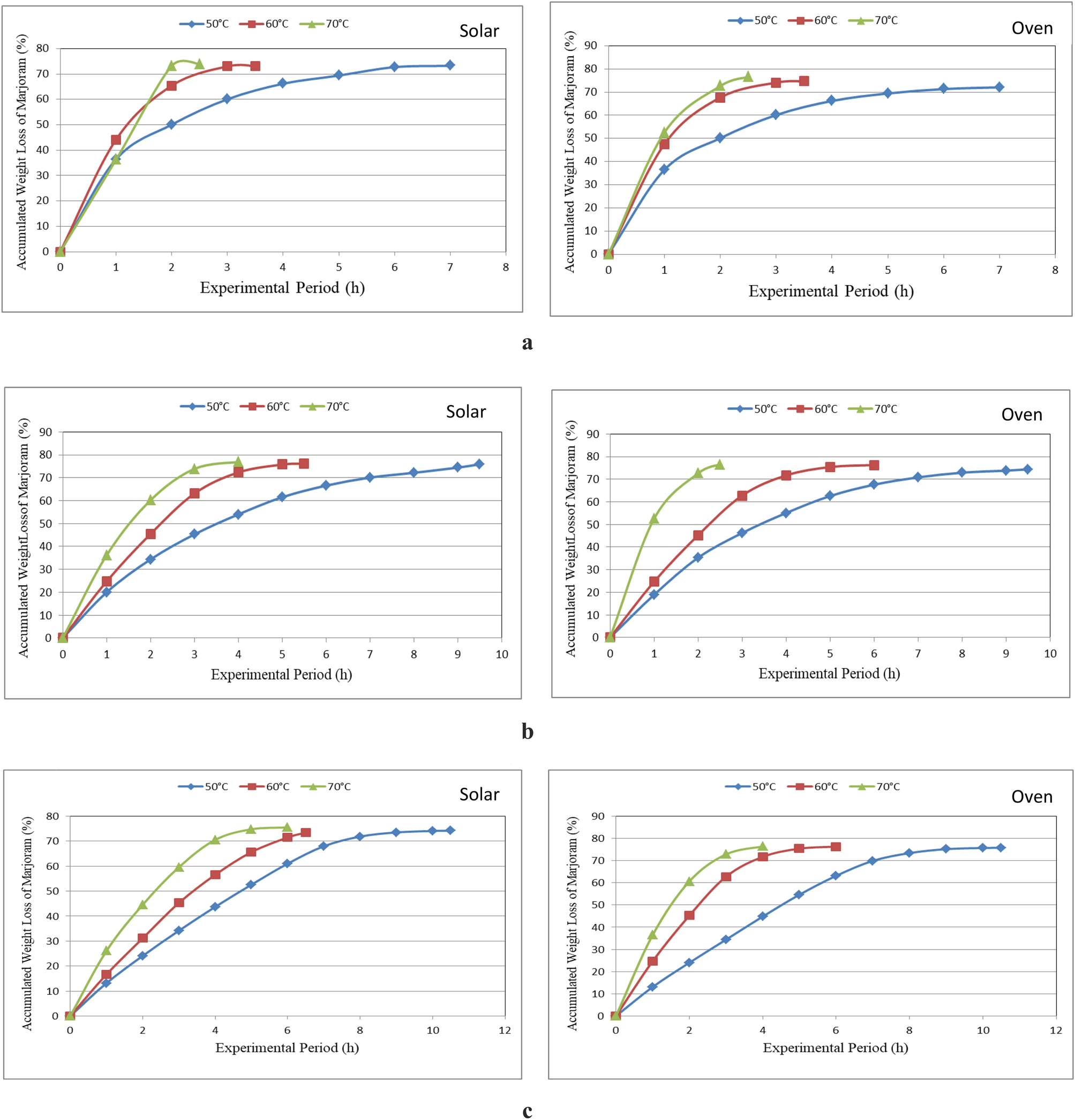
Figure 6

(a) The accumulated weight loss of marjoram leaves at 1 cm thickness layer for different drying systems. (b) The accumulated weight loss of marjoram leaves at 2 cm thickness layer for different drying systems. (c) The accumulated weight loss of marjoram leaves at 3 cm thickness layer for different drying systems.