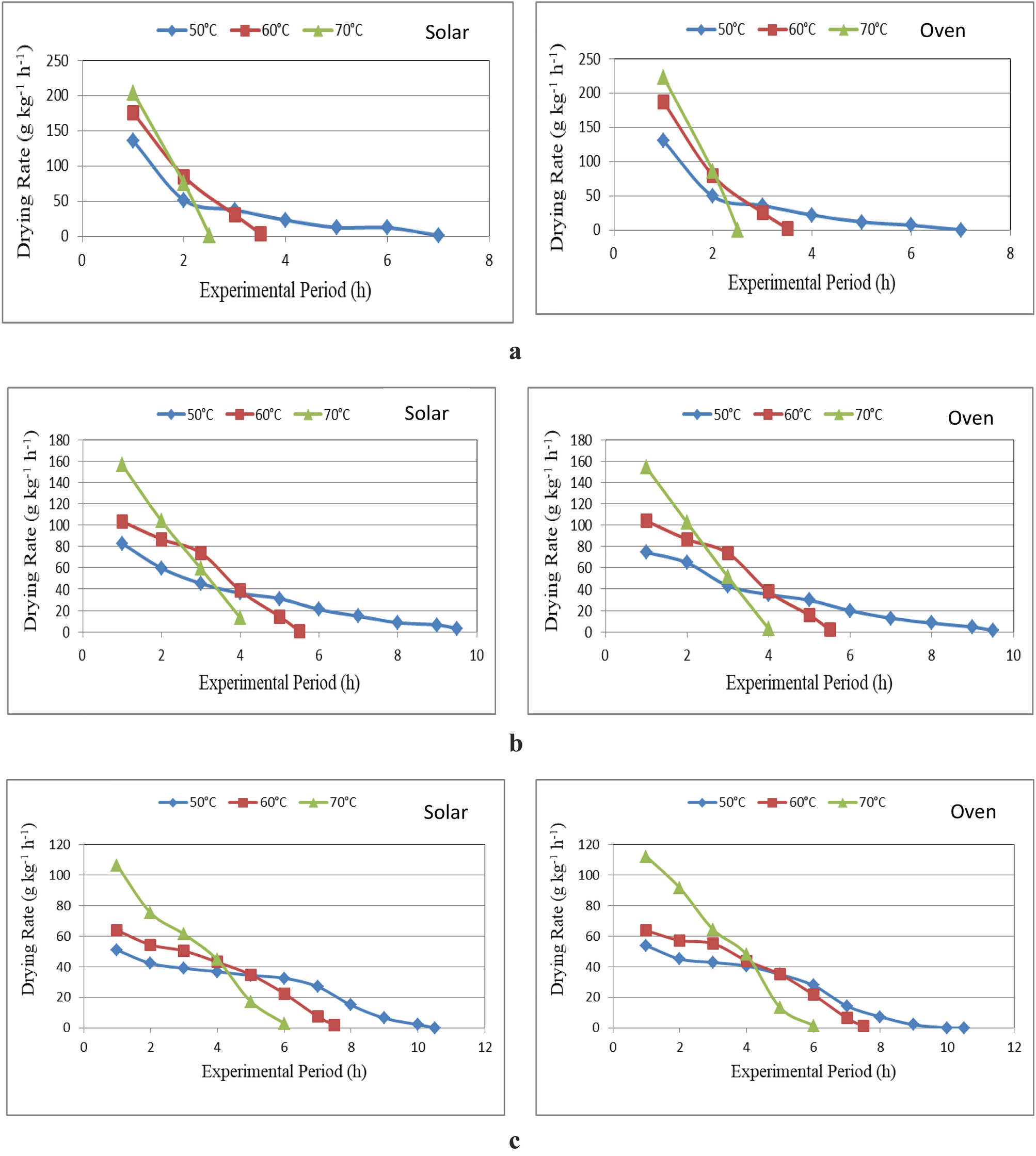
Figure 8

(a) Drying rate of marjoram leaves at 3 cm thickness layer for different drying systems. (b) Drying rate of marjoram leaves at 3 cm thickness layer for different drying systems. (c) Drying rate of marjoram leaves at 3 cm thickness layer for different drying systems.