Figure 1

EMG amplitude RMS during dominant SLR. Contralateral IO was significantly higher in the ID group at 5, 6, 8, 9, and 11 s (all P < 0.05).

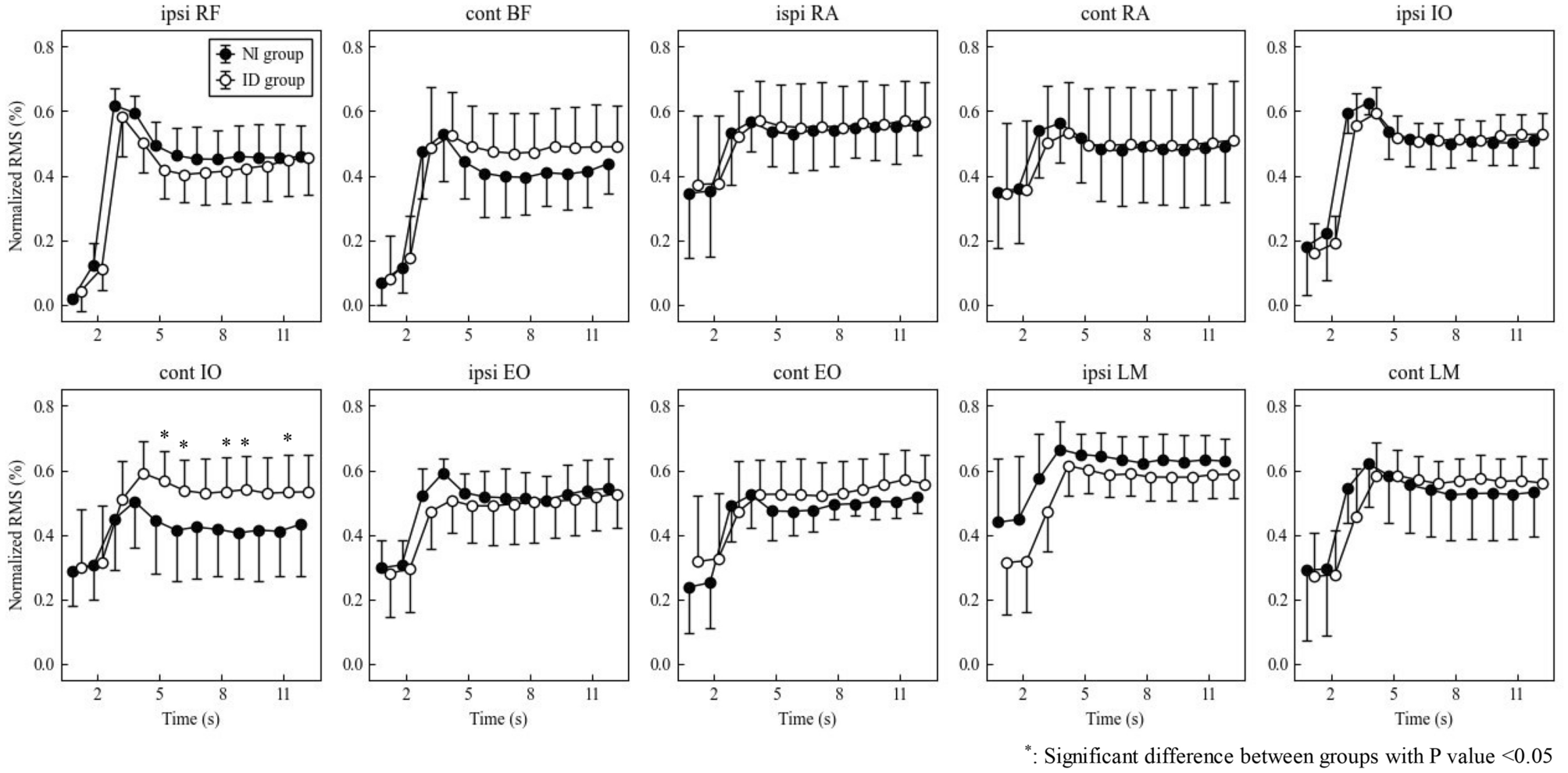
EMG amplitude RMS during dominant SLR. Contralateral IO was significantly higher in the ID group at 5, 6, 8, 9, and 11 s (all P < 0.05).