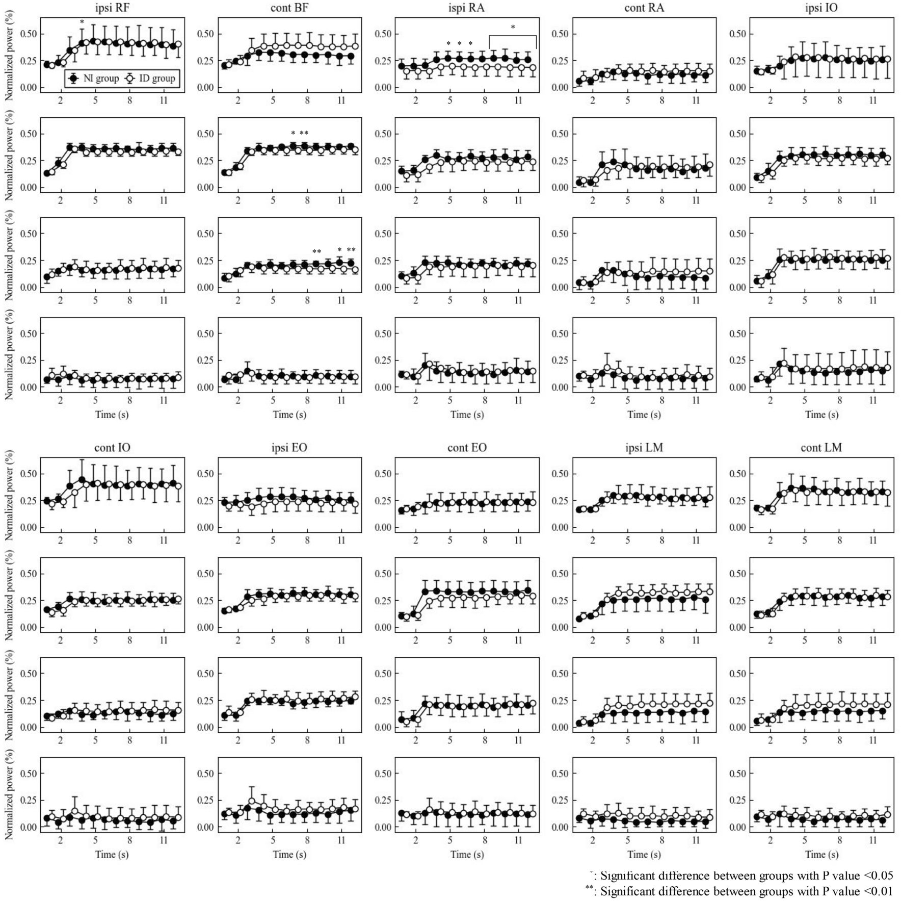
Figure 3

Power in each frequency band during dominant SLR. The HF, MF, LF and VLF band from top to bottom row in each muscle. The MF and LF bands of BF were significantly higher in the NI group (all P < 0.05, which of 0.0065 at 8 s in the MF band and 0.0080 and 0.0058 at 9 and 12 s in the LF band). The HF band of ipsilateral RA was significantly higher in the NI group at 5 to 7 and 9 to 12 s (all P < 0.05).