Figure 2
From: Apigenin supplementation substantially improves rooster sperm freezability and post-thaw function

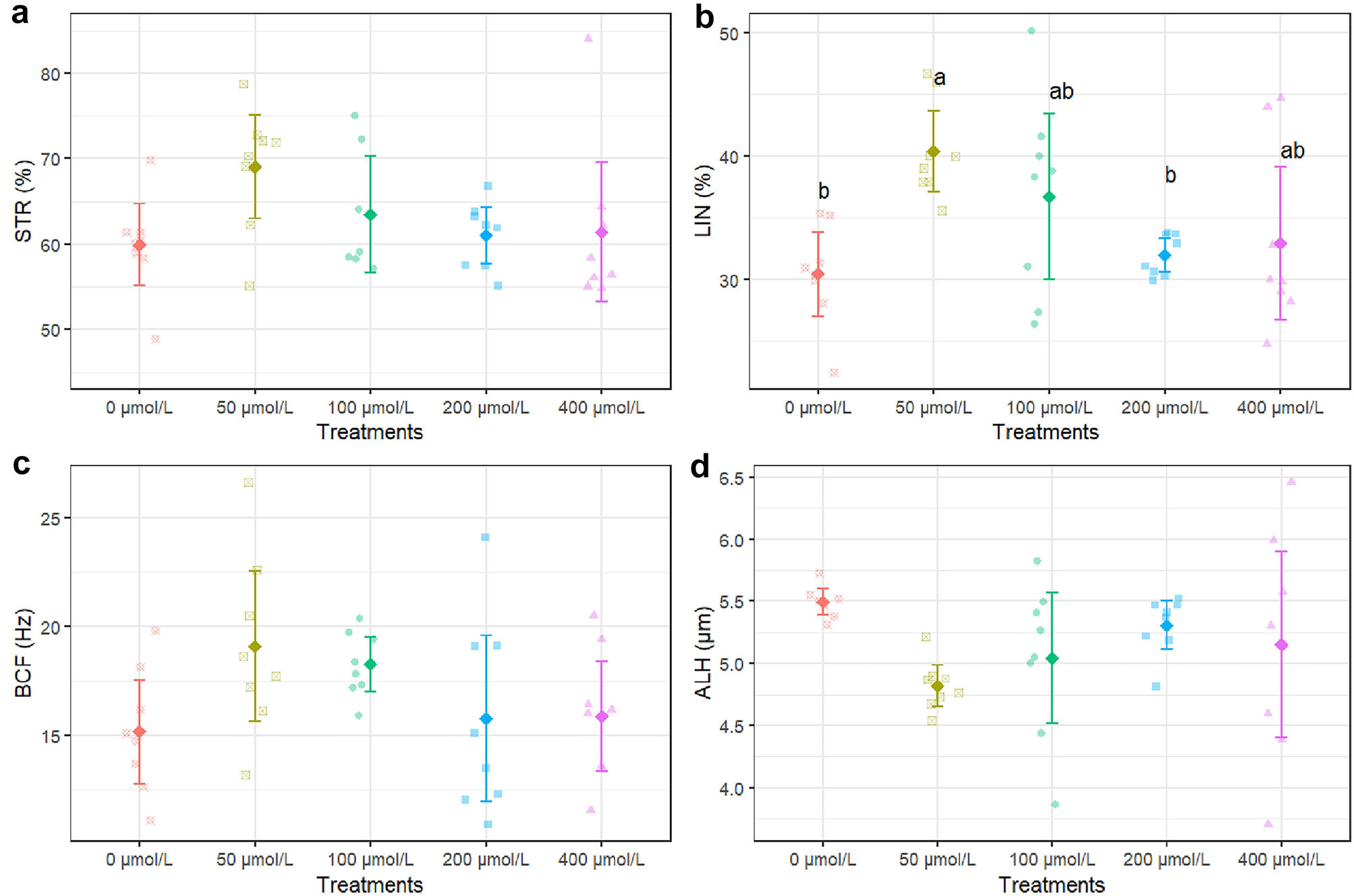
STR straightness (a), LIN linearity (b), ALH amplitude of the lateral head displacement (c) and BCF beat cross frequency (d) after thawing samples cryopreserved with different apigenin concentrations. Different letters indicate that treatments differ P < 0.05.