Figure 6
From: Investigation of a novel TBC1D24 variation causing autosomal dominant non-syndromic hearing loss

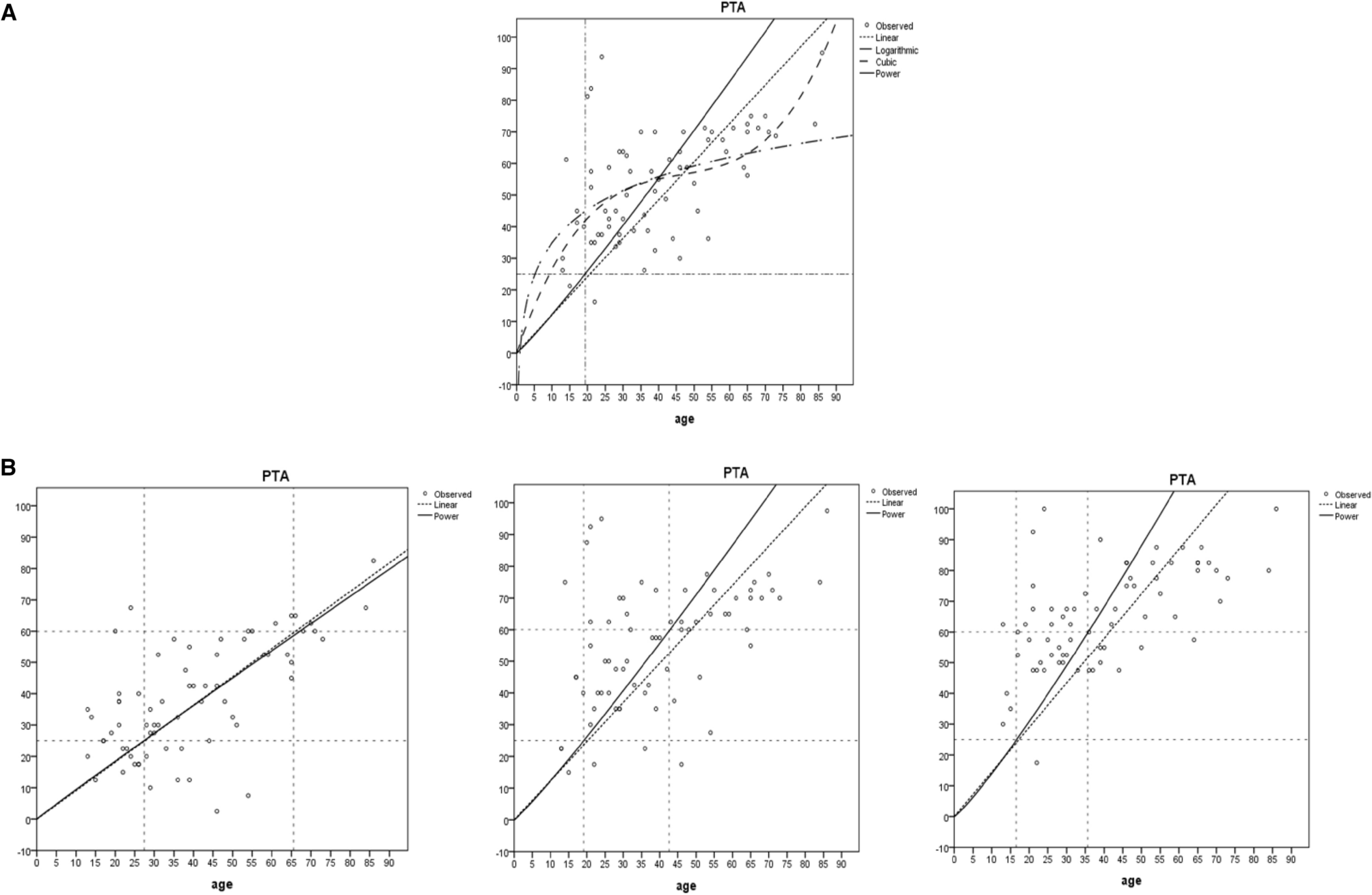
Phenotypic analysis. (A) Compares several different models: the power function model, the polynomial model, and the logarithmic model. The R-squared values of these models were 0.987, 0.933, and 0.930, respectively, while the linear regression model had an R-squared value of 0.873. The power function model had the best fit, so we chose it as our research model. (B) Shows the curve graphs of the power function fitting for the three frequency categories: low, mid, and high. we can obtain the years required for the hearing to deteriorate from 25 to 60Â dB.