Figure 8
From: Modeling and analysis of hybrid-blood nanofluid flow in stenotic artery

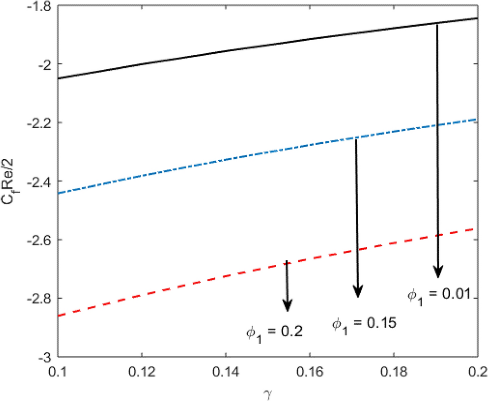
Variations of nanoparticle volume fraction and \(\gamma\) on Skin friction coefficient.
From: Modeling and analysis of hybrid-blood nanofluid flow in stenotic artery

Variations of nanoparticle volume fraction and \(\gamma\) on Skin friction coefficient.