Figure 1
From: Life truncated multiple dependent state plan for imprecise Weibull distributed data

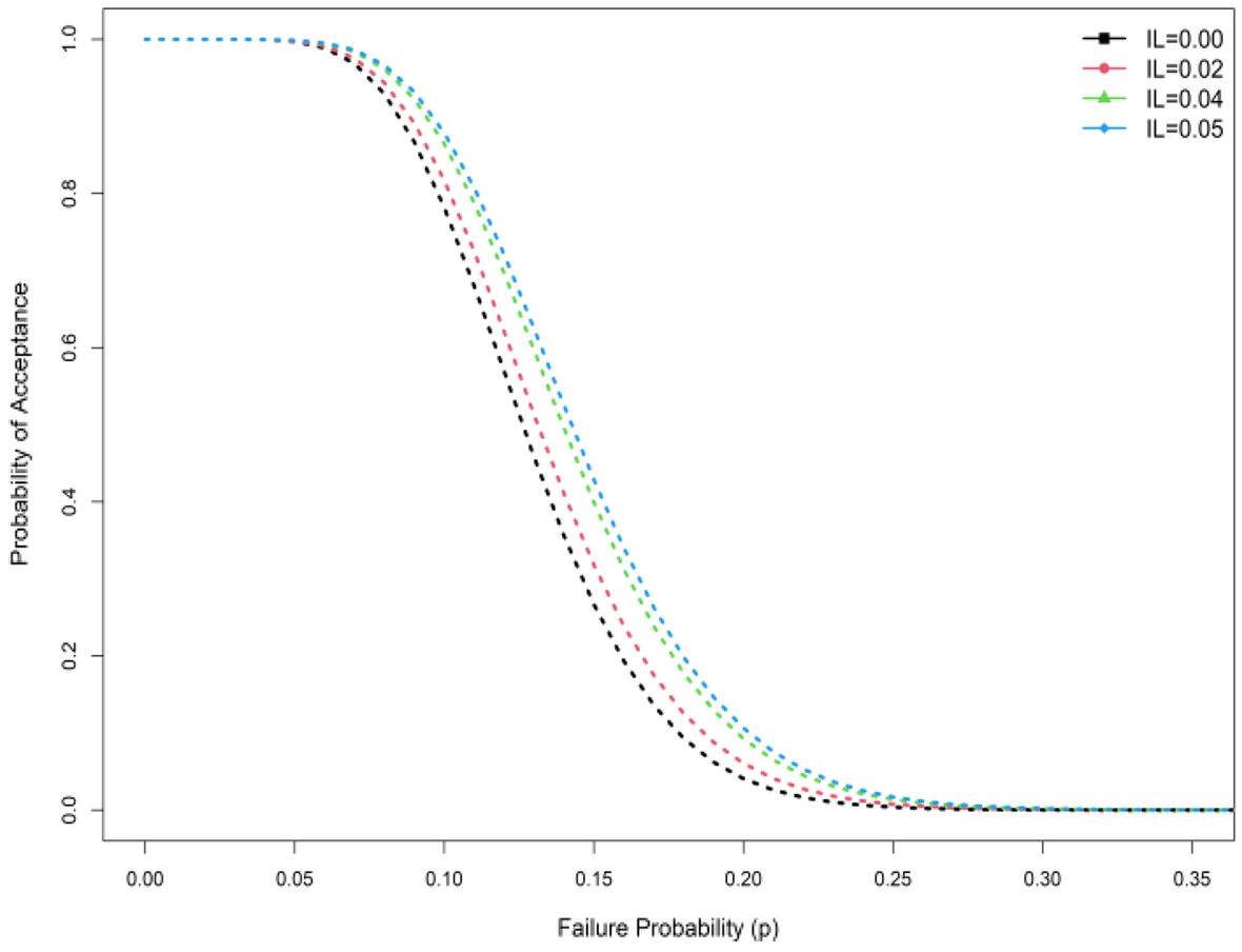
At various indeterminacy values, the OC curve plan.
From: Life truncated multiple dependent state plan for imprecise Weibull distributed data

At various indeterminacy values, the OC curve plan.