Figure 6

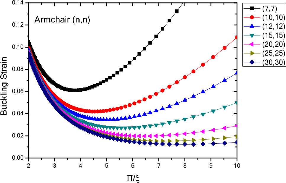
Buckling strain values \(\left({\upvarepsilon }_{0}\right)\) of infinite length \(\left(n,n\right)\) nanotubes with armchair atomic arrangement with respect to inverse buckling mode parameter \(\xi\).

Buckling strain values \(\left({\upvarepsilon }_{0}\right)\) of infinite length \(\left(n,n\right)\) nanotubes with armchair atomic arrangement with respect to inverse buckling mode parameter \(\xi\).