Figure 9

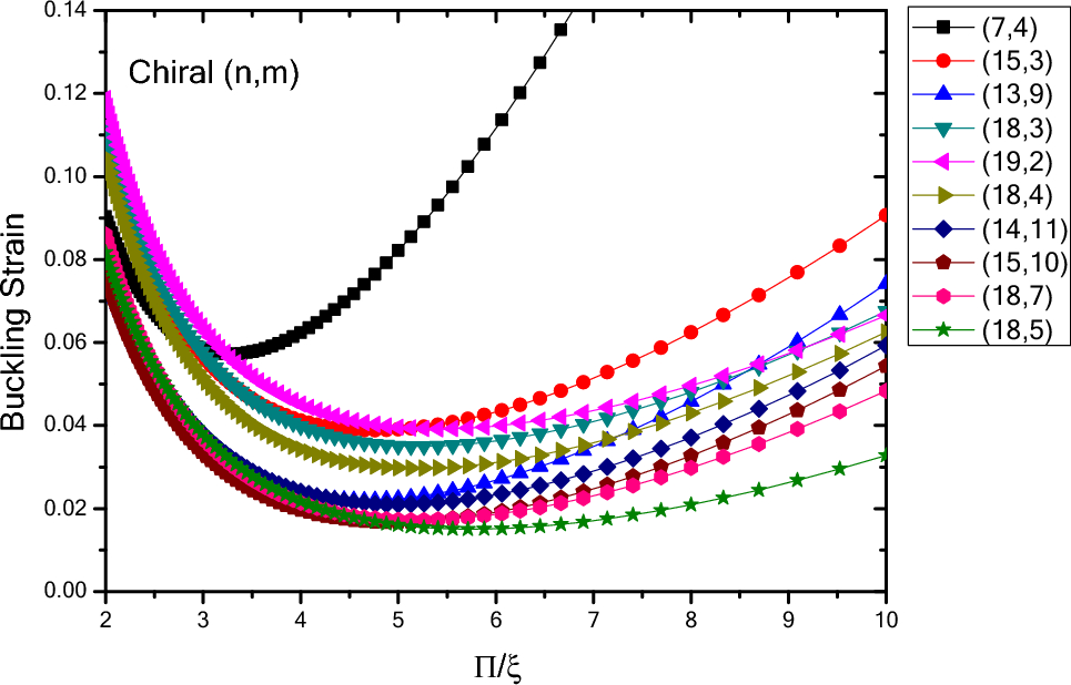
Changes in buckling strain values of infinite nanotubes with different chiralities in terms of inverse buckling mode parameter.

Changes in buckling strain values of infinite nanotubes with different chiralities in terms of inverse buckling mode parameter.