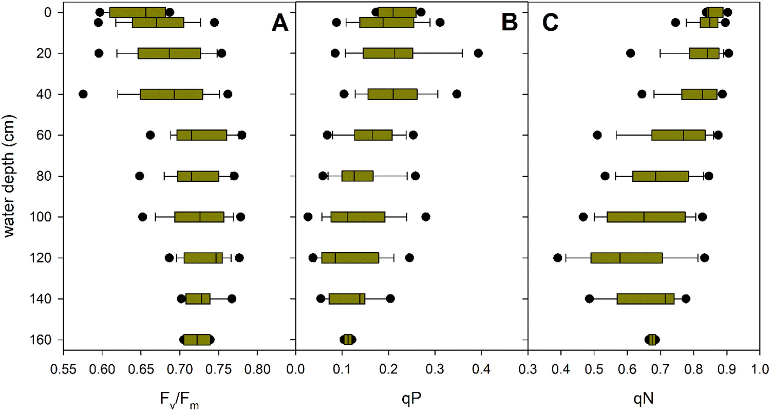
Figure 6
From: Vertical optical complexity shaped by submerged macrophytes

Within-plant vertical variation of foliar photophysiological parameters in monospecific Potamogeton perfoliatus stands in Lake Balaton. The figure displays the median value within the boxplot with a black line, the range containing 75% of the data with whisker caps, and the 5th/95th percentiles with black symbols.