Figure 3

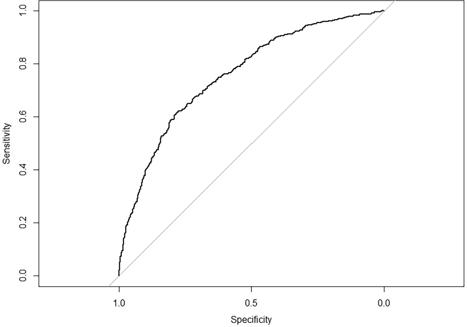
Model evaluation by ROC curve. The ROC curve of the model was plotted using the roc and auc functions of the pROC package on R programming and AUC = 0.760 was calculated.

Model evaluation by ROC curve. The ROC curve of the model was plotted using the roc and auc functions of the pROC package on R programming and AUC = 0.760 was calculated.