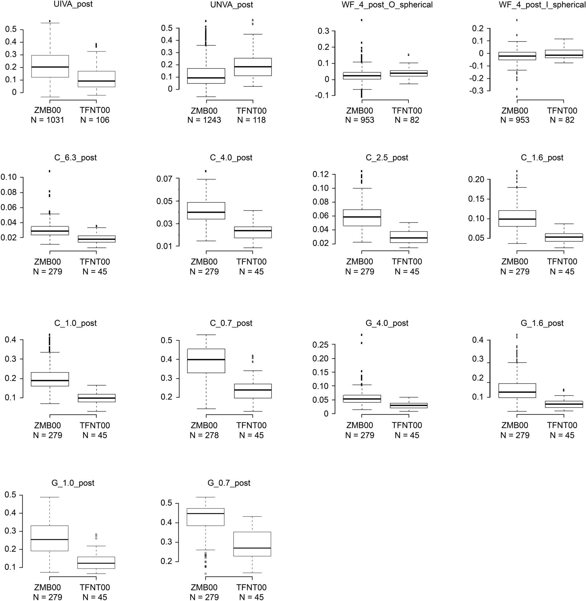
Figure 1

Parameters that demonstrated a significant difference between the diffractive bifocal and diffractive trifocal groups at 10 weeks after bilateral implantation was completed. The band inside the box represents the median. To highlight suspected outliers, the upper whisker is set as the maximum or the third quartile + 1.5 × IQR. The lower whisker indicates the minimum or the first quartile-1.5 × IQR. Each parameter was adjusted by multiple regression with the explanatory variables in Table 1. The Wald test (two-sided) was applied to evaluate the significance of differences between the two groups, and the significance level was set to 0.00068 using Bonferroni’s correction. The asterisk * in this figure indicates a significant difference between the two groups satisfied with the significance level of p < 0.00068.