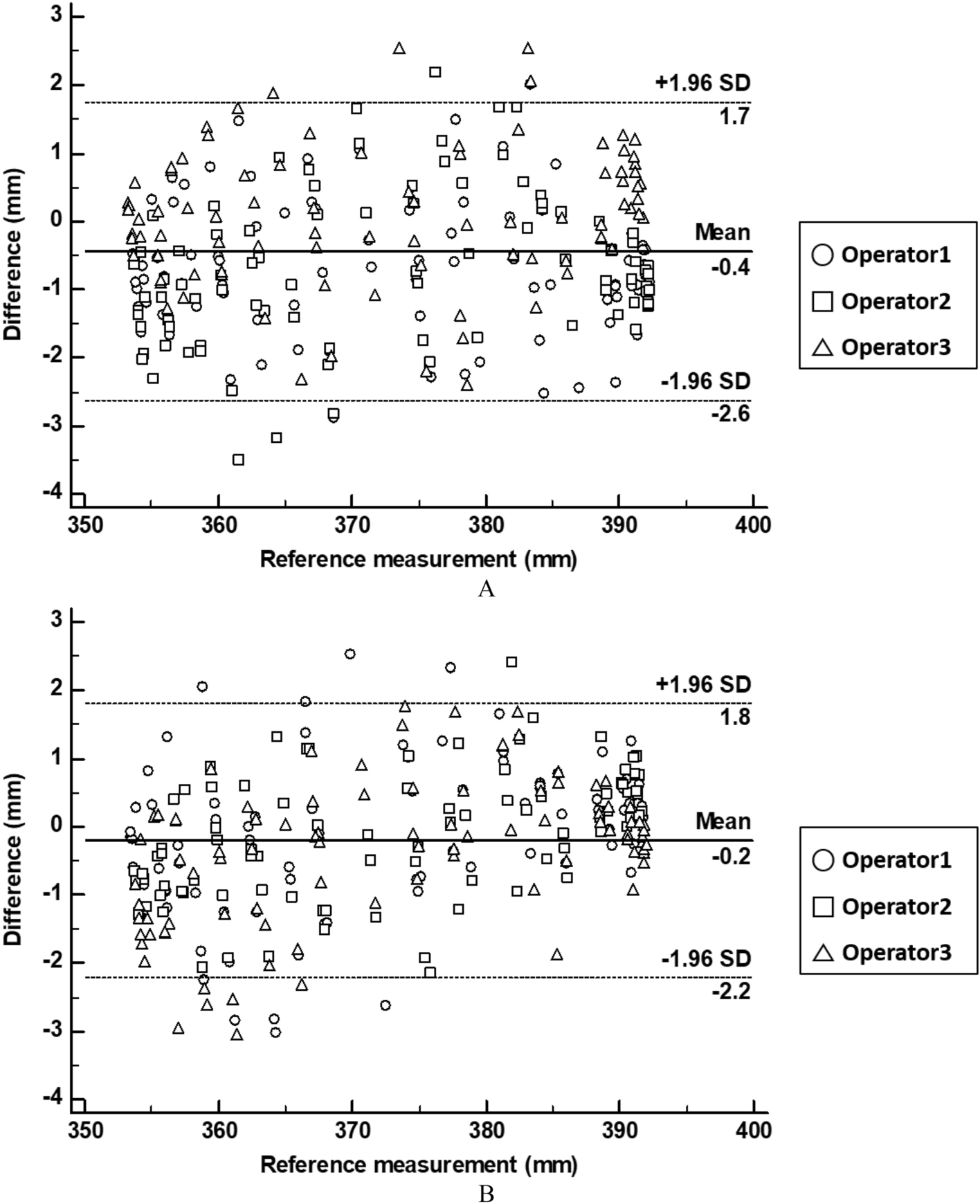
Figure 9

Bland–Altman plot to evaluate marking accuracy differences (A) before compression and (B) after restoration. SD standard deviation.

Bland–Altman plot to evaluate marking accuracy differences (A) before compression and (B) after restoration. SD standard deviation.